《宇宙锋》第二场梅兰芳演唱本-京剧戏谱

京剧戏谱相关琴谱栏目:-宇宙锋 梅兰芳

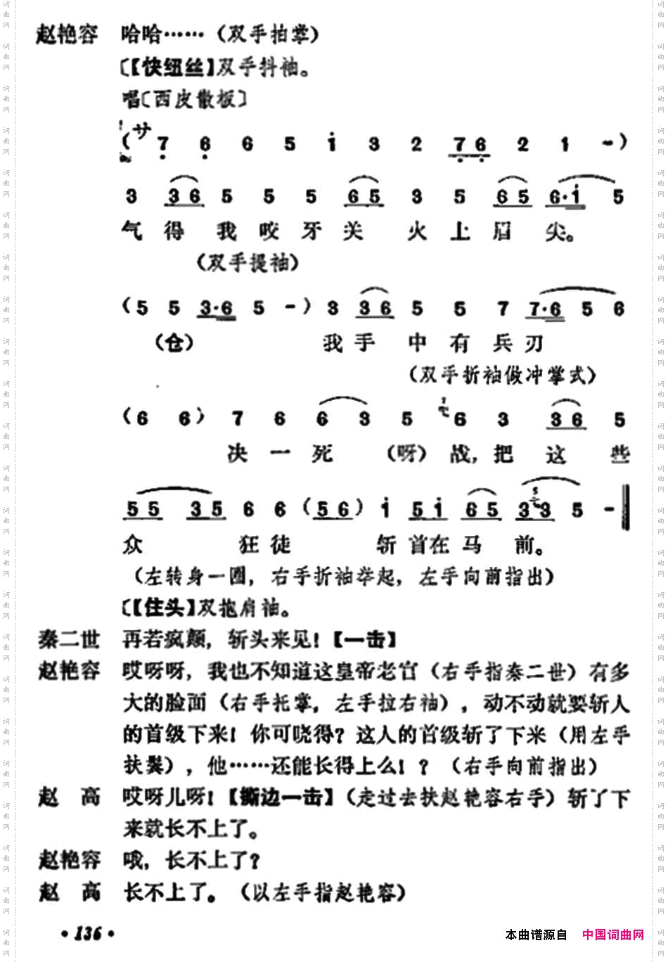
《宇宙锋》第二场梅兰芳演唱本

《宇宙锋》第二场梅兰芳演唱本

《宇宙锋》第二场梅兰芳演唱本

《宇宙锋》第二场梅兰芳演唱本

《宇宙锋》第二场梅兰芳演唱本

《宇宙锋》第二场梅兰芳演唱本

《宇宙锋》第二场梅兰芳演唱本

《宇宙锋》第二场梅兰芳演唱本

《宇宙锋》第二场梅兰芳演唱本

《宇宙锋》第二场梅兰芳演唱本

《宇宙锋》第二场梅兰芳演唱本

点击页面上方免费下载和打印 《宇宙锋》第二场梅兰芳演唱本曲谱,即可免费下载和打印本曲谱全部内容
简谱是音乐的密码本,音符是跳动的心电图。琴谱123曲谱网帮助每个热爱音乐的人学习乐器

全站海量京剧戏谱任你下载,帮你实现音乐梦

扫描右侧二维码手机上查阅《宇宙锋》第二场梅兰芳演唱本的京剧戏谱

扫一扫二维码