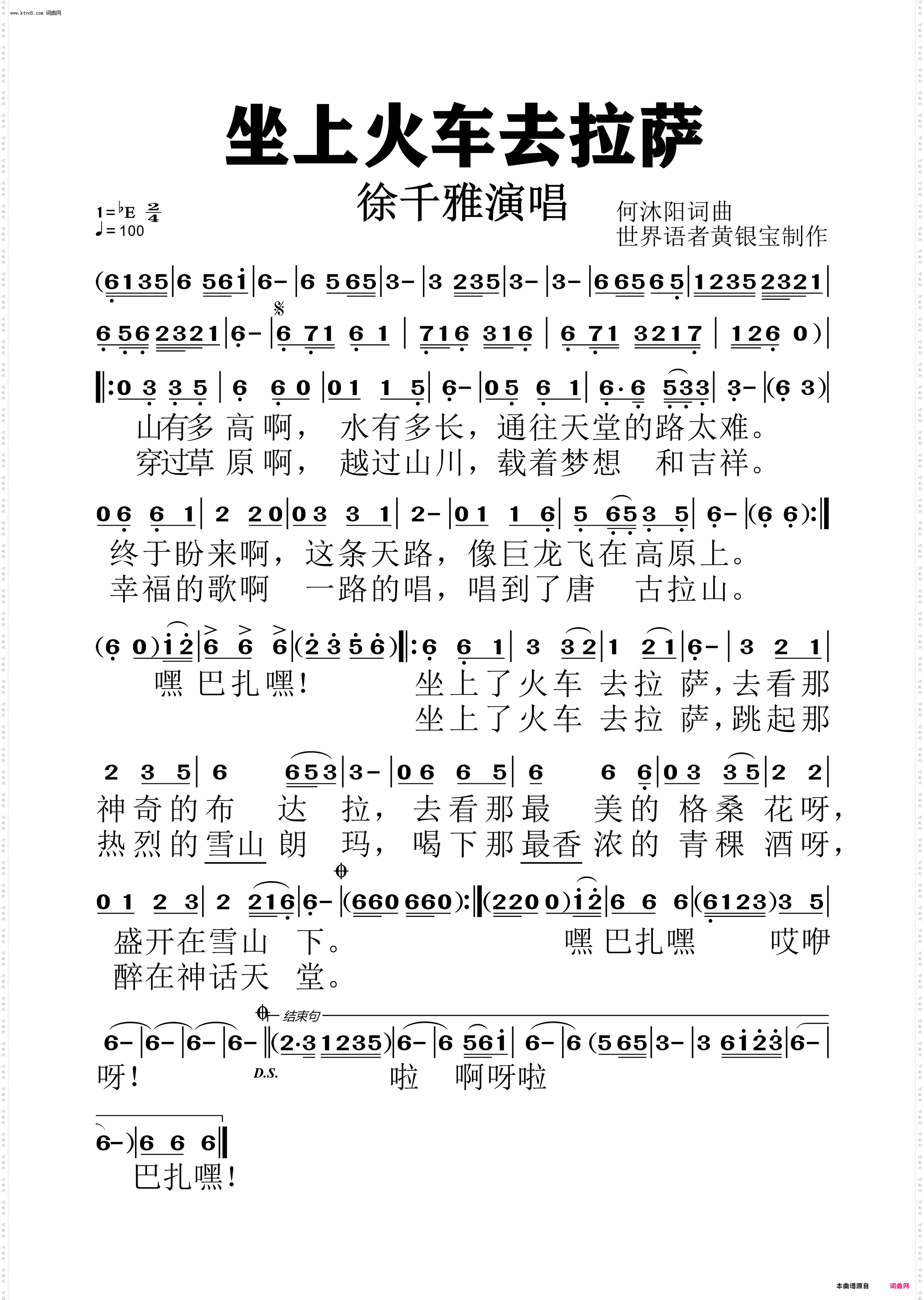
坐上火车去拉萨-简谱

简谱相关琴谱栏目:何沐阳 何沐阳

坐上火车去拉萨

点击页面上方免费下载和打印 坐上火车去拉萨曲谱,即可免费下载和打印本曲谱全部内容
简谱是音乐的密码本,音符是跳动的心电图。琴谱123曲谱网帮助每个热爱音乐的人学习乐器

全站海量简谱任你下载,帮你实现音乐梦

扫描右侧二维码手机上查阅坐上火车去拉萨的简谱

扫一扫二维码