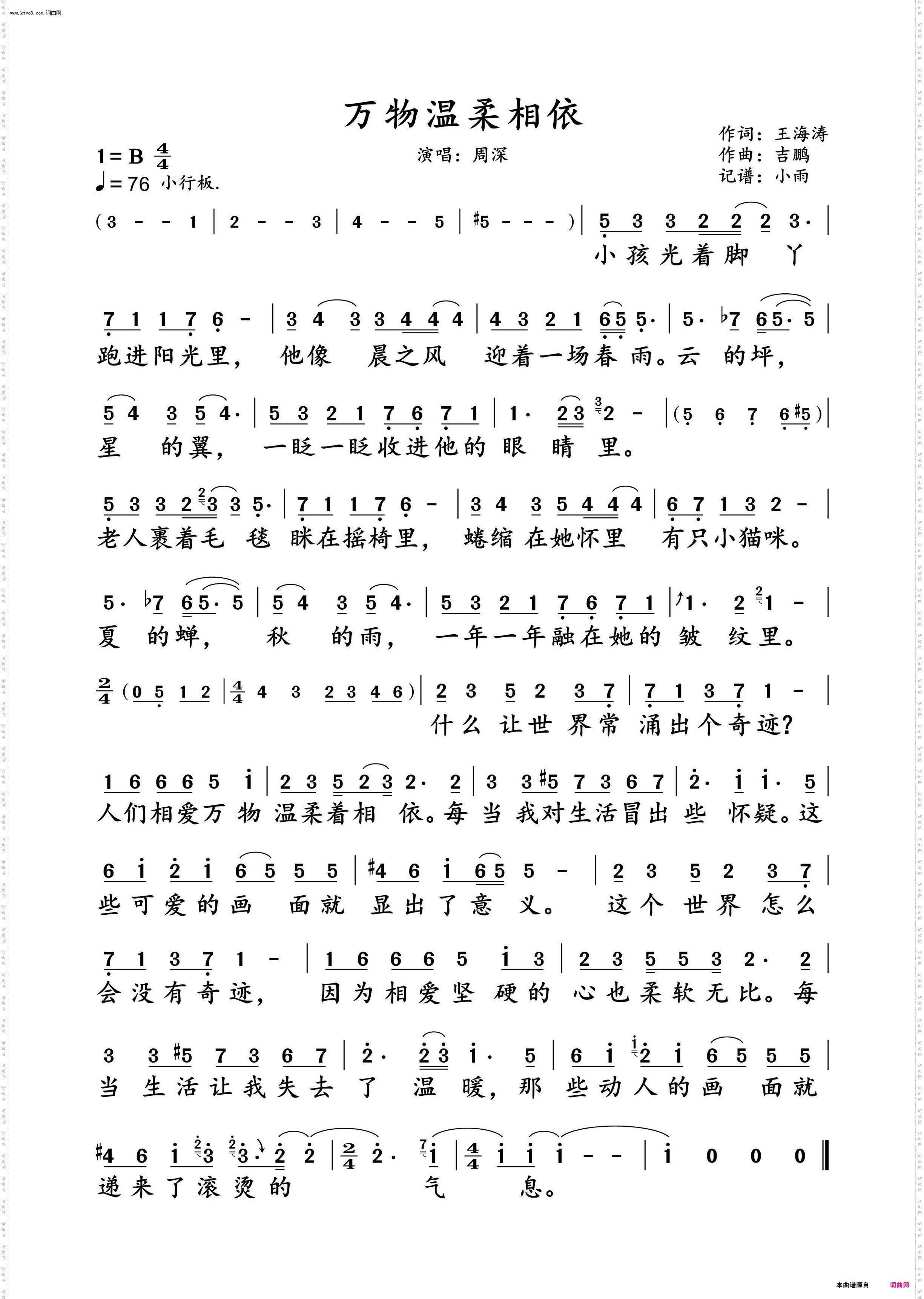
点击页面上方免费下载和打印 万物温柔相依_周深 动态谱曲谱,即可免费下载和打印本曲谱全部内容
简谱是音乐的密码本,音符是跳动的心电图。琴谱123曲谱网帮助每个热爱音乐的人学习乐器
万物温柔相依_周深 动态谱的相关曲谱
- 有山有海有你
- 梦见你_时间之子主题曲钢琴五线谱及简谱
- 想见到气血满满的你
- 岁月尘埃_《子夜归》电视剧镌刻人生主题曲
- 桂花谣_长安的荔枝主题曲钢琴五线谱及简谱
- 这世界那么多人_ 合唱谱
- 亲人
- 和光同春
- 这世界那么多人_女声合唱
- 大鱼_动画电影《大鱼海棠》印象曲
- 归来_2025年电视剧《归队》主题曲》
- 追光在路上
- 云裳羽衣曲_云裳羽衣主题曲简单版钢琴五线谱及简谱
- 这世界那么多人 Live_张碧晨、王赫野
- 莫斯科郊外的晚上-版本2_编号-002、
- 好风起
- 有山有海有你
- 有山有海有你
- 人间星河
- 若仙_电影《仙台有树》片尾主题曲
- 有山有海有你_2025央视元宵晚会 周深动态谱
- 有山有海有你_2025央视元宵晚会 周深演唱谱
- 若仙_《仙台有树》主题曲 周深动态谱
- 若仙_《仙台有树》主题曲 周深演唱谱
- 我以渺小爱你_《一路前行》环保公益纪实节目主题曲
- 过客_《以爱为营》电视剧主题曲
- 大鱼_动画电影《大鱼海棠》印象曲
- 许卿安_电视剧《大奉打更人》插曲
- 好风起
- 总有美好在路上_C调简易版
- 小美满_弹唱 降B
- 总有美好在路上_F
- 盛世_电视刷《清明上河图密码》片尾曲
- 小美满_吉他谱-G调
- 一生一梦
- 一生一梦
- 这世界那么多人_三声部合唱
- 灯火里的中国_据央视春晚视频记谱
- 化身孤岛的鲸_吉他谱-C调
- 一生一瞬_《七夜雪》电视剧雪落无憾主题曲
- 梁祝_周深 2024中秋晚会动态谱
- 梁祝_周深 2024中秋晚会演唱谱
- 小美满_《热辣滚滚》电影插曲 吉他谱-G调
- 心同此愿
- 向光而行_周深 2024中秋晚会动态谱加长版
- 灯火里的中国_弹唱版钢琴简谱线谱
- 向光而行_周深 2024中秋晚会演唱谱加长版
- 奉时光予你_未成年人检察概念曲
- 非遗里的中国
- 只字不提_周深
猜你喜欢
热门曲谱
本站热搜
- 刘北休
- 周杰伦
- 赵宝祥
- 张朱论
- 于珂群
- 赵秀富
- 任清彪
- 动漫影视
- 杨培彬
- 佚名
- 刘志毅
- 颂今
- 邓丽君
- 刘恕
- 黄永杰
- 轻云望月
- 臧辉先
- 郭瑞峰
- 范修奎
- 今心勿念
- 高福友
- 李一泉
- 王立
- 未知
- echoLee
- 金一清
- 久石让
- 林俊杰
- 巴赫
- 车尔尼
- 李大江
- 印青
- 贝多芬
- 莫扎特
- 向邦瑜
- 张艺军
- 其他曲谱
- 肖邦
- 赵福林
- 吴世海
- 孙海生
- 黄清林
- 张德社
- 范景治
- 党继志
- 拜厄
- 陈伟
- 何顺贵
- 刘启华
- 陈奕迅
- 方文山
- 陈吉桂
- 李洪华
- 刘昌贵
- 刘爱斌
- 影视
- 宋祖英
- 车行
- 圣子
- 刘岐山
- 谌丽君
- 周深
- 孙书林
- 遥远
- 李繁花
- 张杰
- 阎维文
- 理查德·克莱德曼
- 世界名曲
- 石顺义
- 黎强
- 南梆子
- 银燕
- 孟庆云
- 陈能书
- 王菲
- 胡润华
- 中国名曲
- 谢伟
- 贺陆云
- 阎肃
- 鲁新华
- 罗鹏
- 徐沛东
- 陈普
- 王心田
- 杜旭光
- 倪永东
- (陈普)
- 梁静茹
- 笛子练习曲
- 李幼容
- 陈瑞
- 陈元绍
- 黄进军
- 戚建波
- 石进
- 陈道斌
- 雷佳
- 林夕
- 邹兴淮
- 谭晶
- 楼勤
- 伊璐琒
- 真情玲儿
- 谷建芬
- 李严
- 李娜
- 黎荣军
- 张学友
- 刘海斌
- 阿信
- 姚远富
- 王力宏
- 萧思林
- 许嵩
- 胡泽民
- 何丽华
- 张定月
- 詹姆斯·巴斯蒂安
- 阿汝汗
- 李斯特
- 邬大为
- 王丽达
- 刘德华
- 方翔
- 繁花笼雾
- 吴梦言
- 廖昌永
- 流行追梦人
- 瞿琮
- 克莱德曼
- 董宪瑞
- 范琳琳
- 薛之谦
- 朱长胜
- 韩磊
- 罗大佑
- 五月天
- 沈献智
- 王晓岭
- 张也
- 游戏
- 刘青
- 初音未来
- 雷宁
- 戴建华
- 许宝仁