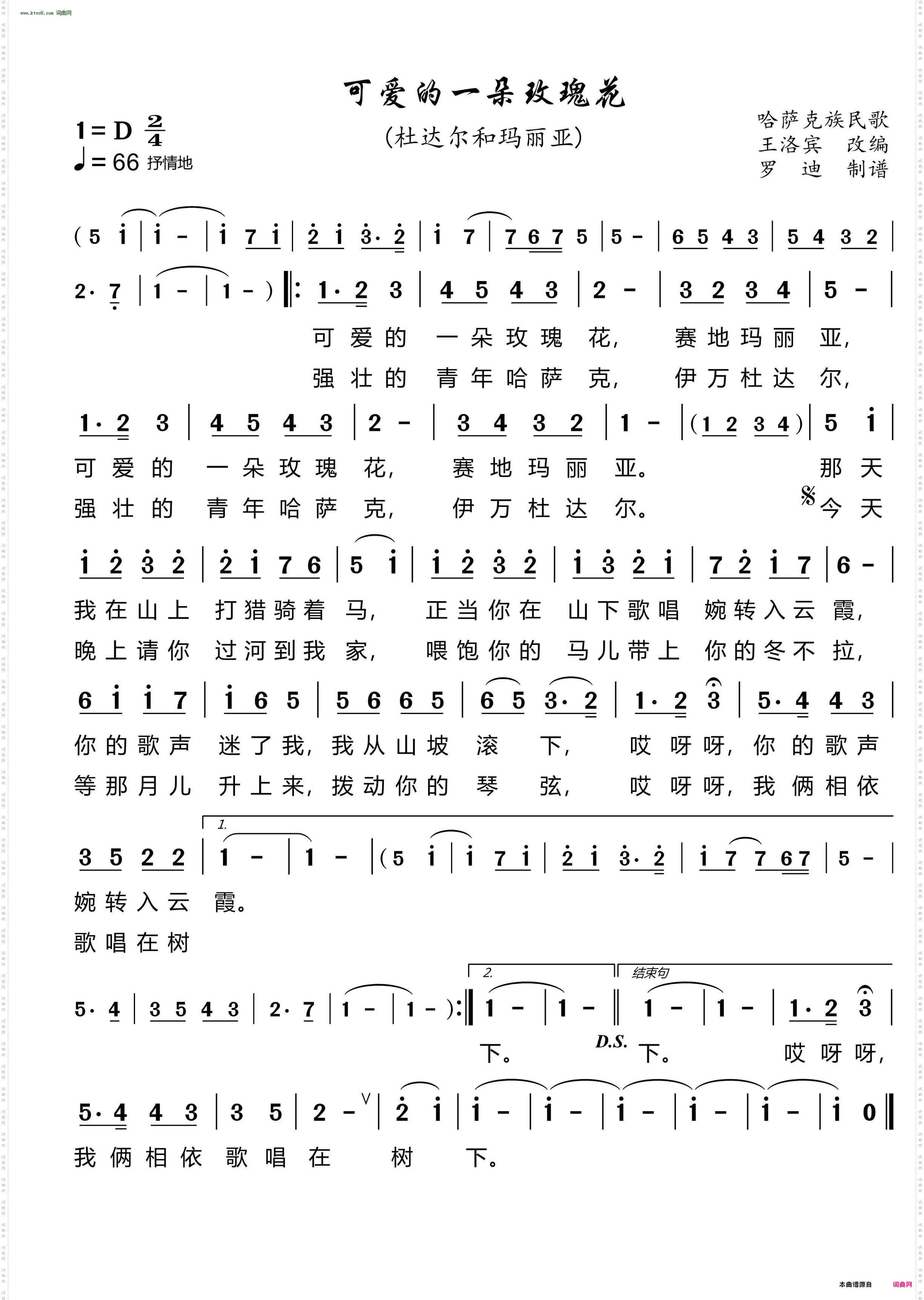
点击页面上方免费下载和打印 可爱的一朵玫瑰花_哈萨克族民歌曲谱,即可免费下载和打印本曲谱全部内容
简谱是音乐的密码本,音符是跳动的心电图。琴谱123曲谱网帮助每个热爱音乐的人学习乐器
可爱的一朵玫瑰花_哈萨克族民歌的相关曲谱
- 在那遥远的地方
- 在那遥远的地方_四声部合唱简谱
- 康定情歌情人桥联唱
- 青海大合唱十《新编在那遥远的地方》_青海大合唱第十部共10部
- 《半个月亮爬上来》_混声四部无伴奏合唱
- 康定情歌_对唱
- 曼丽
- 在那遥远的地方_Tuba2分谱 适用于bB调指法演奏的简谱
- 在那遥远的地方_Tuba1分谱 适用于bB调指法演奏的简谱
- 等你到天明_男声无伴奏混声合唱
- 花儿与少年_二胡指法曲谱 仅供参考
- 等待_王艺涛
- 牡丹汗_笛子演奏歌曲
- 康定情歌_混声小合唱
- 虹彩妹妹
- 在银色的月光下_希林娜依·高 2024中秋晚会动态谱
- 在银色的月光下_希林娜依·高 2024中秋晚会演唱谱
- 青春舞曲_青春舞曲演绎谱
- 青春舞曲_萨克斯乐曲bB调伴奏
- 青春舞曲_萨克斯乐曲伴奏及G调伴奏
- 青春舞曲_萨克斯乐曲C/D调伴奏
- 康定情歌_萨克斯乐曲原版伴奏
- 康定情歌_萨克斯乐曲F/G调伴奏
- 康定情歌_萨克斯乐曲C/D调伴奏
- 康定情歌_萨克斯乐曲bB/bE调伴奏
- 半个月亮爬上来_编号-459
- 黄昏里的炊烟〔女声小合唱〕_王洛宾歌曲精选·演唱篇
- 阿拉木汗〔男女声重唱〕_王洛宾歌曲精选·演唱篇
- 沙里洪巴〔男女声独唱、合唱、重唱〕_〔王洛宾歌曲精选·演唱篇〕
- 黑眉毛〔男女声合唱〕_〔王洛宾歌曲精选·演唱篇〕
- 都达尔和玛利亚〔男女声独唱、合唱〕_〔王洛宾歌曲精选·演唱篇〕
- 阿拉木汗_叶老汉老歌清唱专辑
- 玛依拉_叶老汉老歌清唱专辑
- 姑娘追_男女声二重唱
- 哨所一丛红罂粟_战士小唱
- 在那遥远的地方
- 在那遥远的地方_青海民歌 王洛宾作词编曲
- 我俩永隔一条水〔男声独唱,女声伴唱〕_〔王洛宾歌曲精选〕
- 青春舞曲〔女声独唱、男女声伴唱〕_〔王洛宾歌曲精选·演唱篇〕
- 高高的白杨〔男女声独唱、重唱〕_〔王洛宾歌曲精选·演唱篇〕
- 牡丹汗〔男声独唱〕_〔王洛宾歌曲精选·演唱篇〕
- 青春舞曲·〔独唱、伴唱〕_王洛宾歌曲精选·演唱篇
- 掀起你的盖头來〔男声独唱、女声伴唱〕_〔王洛宾歌曲精选〕
- 掀起你的盖头来
- 在那遥远的地方〔男声独唱、伴唱〕1_王洛宾歌曲精选
- 半个月亮爬上来〔王洛宾歌曲精选〕_〔男女声重唱〕
- 半个月亮爬上来〔梦之旅合唱组合〕_男女三声部重唱
- 阿娜尔汗〔女声独唱〕_王洛宾歌曲精选
- 卖苹果_〔王洛宾歌曲精选〕
- 阿拉木汗〔男女声独唱、伴唱〕_王洛宾歌曲精选
猜你喜欢
热门曲谱
本站热搜
- 刘北休
- 周杰伦
- 赵宝祥
- 张朱论
- 于珂群
- 赵秀富
- 任清彪
- 动漫影视
- 杨培彬
- 佚名
- 刘志毅
- 颂今
- 邓丽君
- 刘恕
- 黄永杰
- 轻云望月
- 臧辉先
- 郭瑞峰
- 范修奎
- 今心勿念
- 高福友
- 李一泉
- 王立
- 未知
- echoLee
- 金一清
- 久石让
- 林俊杰
- 巴赫
- 车尔尼
- 李大江
- 印青
- 贝多芬
- 莫扎特
- 向邦瑜
- 张艺军
- 其他曲谱
- 肖邦
- 赵福林
- 吴世海
- 孙海生
- 黄清林
- 张德社
- 范景治
- 党继志
- 拜厄
- 陈伟
- 何顺贵
- 刘启华
- 陈奕迅
- 方文山
- 陈吉桂
- 李洪华
- 刘昌贵
- 刘爱斌
- 影视
- 宋祖英
- 车行
- 圣子
- 刘岐山
- 谌丽君
- 周深
- 孙书林
- 遥远
- 李繁花
- 张杰
- 阎维文
- 理查德·克莱德曼
- 世界名曲
- 石顺义
- 黎强
- 南梆子
- 银燕
- 孟庆云
- 陈能书
- 王菲
- 胡润华
- 中国名曲
- 谢伟
- 贺陆云
- 阎肃
- 鲁新华
- 罗鹏
- 徐沛东
- 陈普
- 王心田
- 杜旭光
- 倪永东
- (陈普)
- 梁静茹
- 笛子练习曲
- 李幼容
- 陈瑞
- 陈元绍
- 黄进军
- 戚建波
- 石进
- 陈道斌
- 雷佳
- 林夕
- 邹兴淮
- 谭晶
- 楼勤
- 伊璐琒
- 真情玲儿
- 谷建芬
- 李严
- 李娜
- 黎荣军
- 张学友
- 刘海斌
- 阿信
- 姚远富
- 王力宏
- 萧思林
- 许嵩
- 胡泽民
- 何丽华
- 张定月
- 詹姆斯·巴斯蒂安
- 阿汝汗
- 李斯特
- 邬大为
- 王丽达
- 刘德华
- 方翔
- 繁花笼雾
- 吴梦言
- 廖昌永
- 流行追梦人
- 瞿琮
- 克莱德曼
- 董宪瑞
- 范琳琳
- 薛之谦
- 朱长胜
- 韩磊
- 罗大佑
- 五月天
- 沈献智
- 王晓岭
- 张也
- 游戏
- 刘青
- 初音未来
- 雷宁
- 戴建华
- 许宝仁