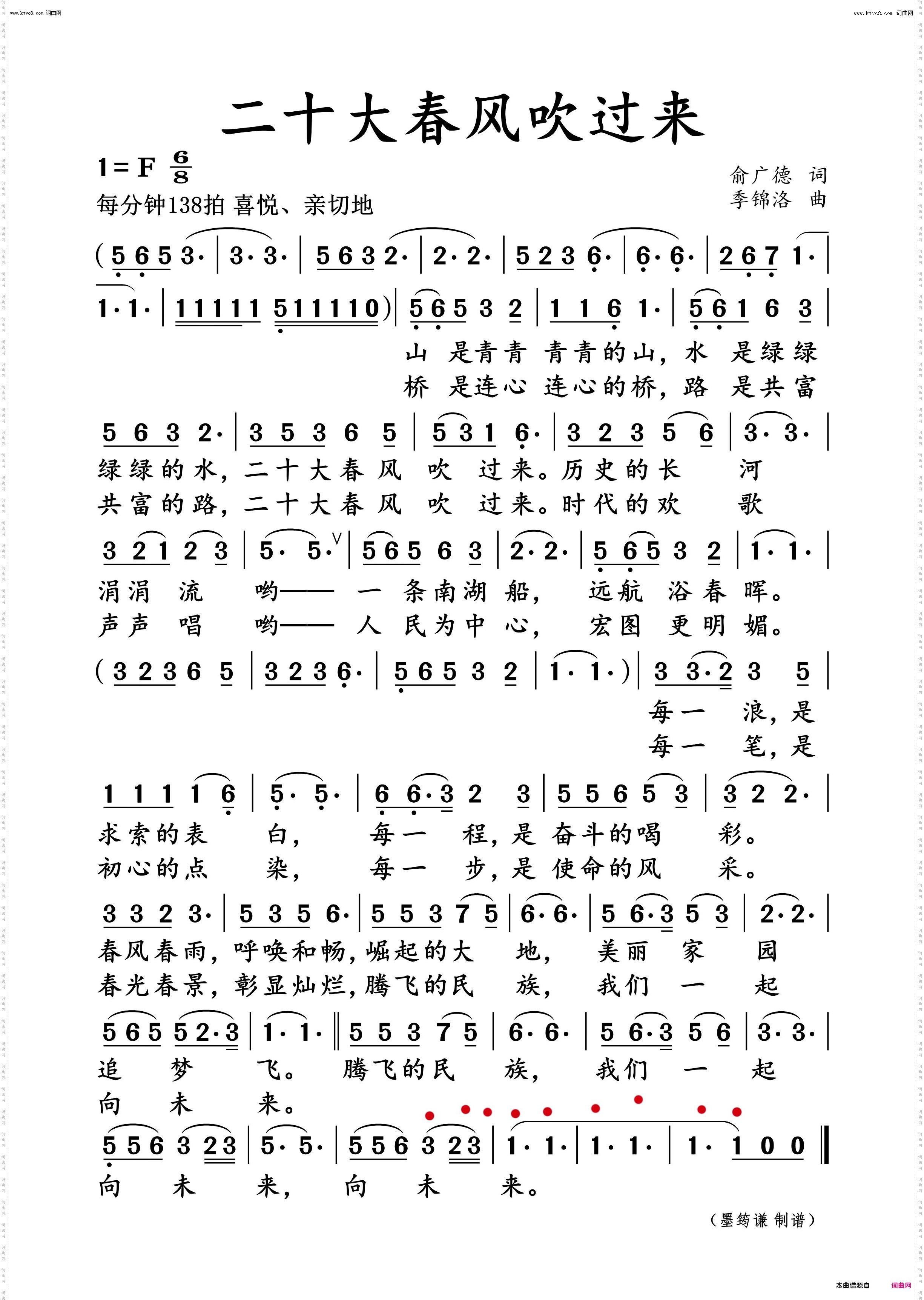
二十大春风吹过来-简谱

简谱相关琴谱栏目:俞广德 季锦洛

二十大春风吹过来

点击页面上方免费下载和打印 二十大春风吹过来曲谱,即可免费下载和打印本曲谱全部内容
简谱是音乐的密码本,音符是跳动的心电图。琴谱123曲谱网帮助每个热爱音乐的人学习乐器

全站海量简谱任你下载,帮你实现音乐梦

扫描右侧二维码手机上查阅二十大春风吹过来的简谱

扫一扫二维码