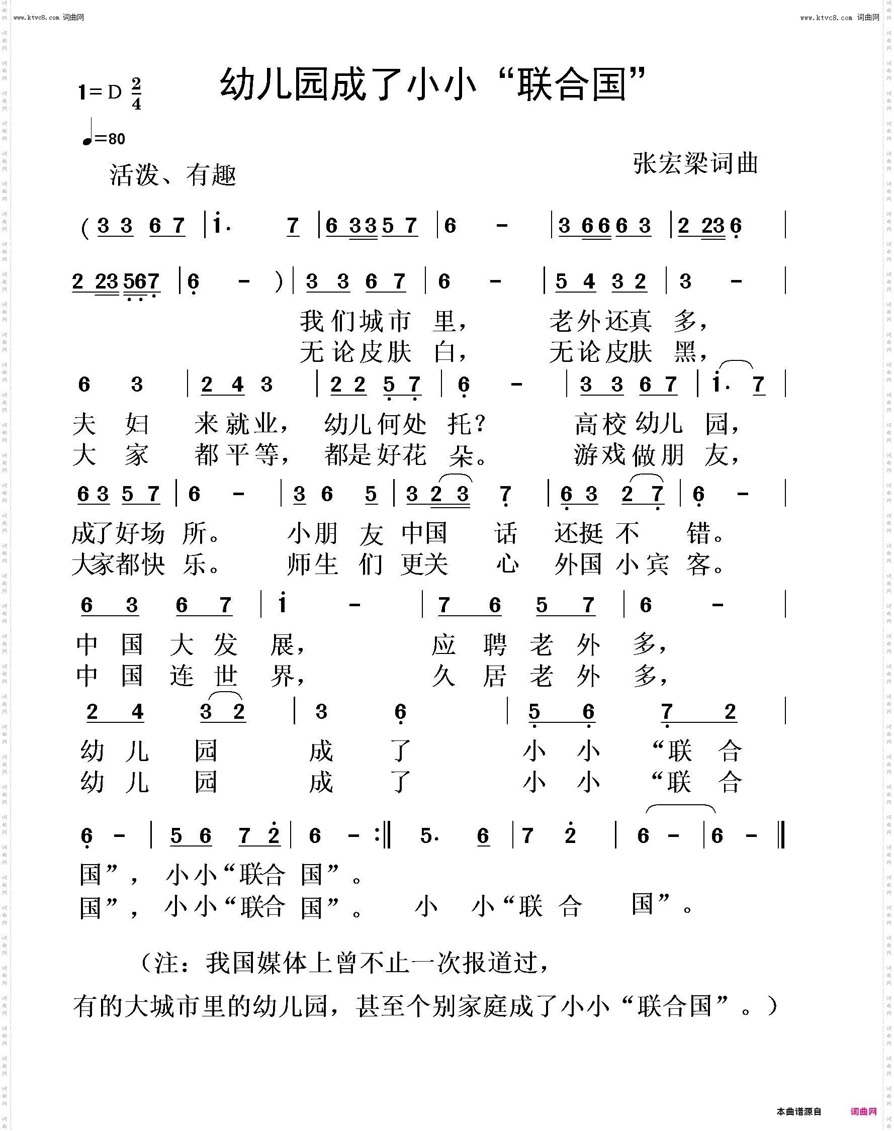
点击页面上方免费下载和打印 幼儿园成了小小“联合国”小修改曲谱,即可免费下载和打印本曲谱全部内容
简谱是音乐的密码本,音符是跳动的心电图。琴谱123曲谱网帮助每个热爱音乐的人学习乐器
幼儿园成了小小“联合国”小修改的相关曲谱
- 开化农商银行行歌
- 这么美好,真的出乎意料
- 梦虽遥,追则能达_西藏民族大学校歌试作
- 梦虽遥,追则能达_西藏民族大学校歌试作
- 菏泽,牡丹之乡
- 菏泽,牡丹之乡
- 歌唱华蓥山
- 唱响华蓥山
- 遵义红色圣地
- 人生不是可以重誊的草稿
- 欢迎你到雁峰来_湖南衡阳雁峰区之歌
- 平原镇不甘平凡
- 天汉少年
- 水韵名城看宿迁
- 袍中诗
- 根连根 心连心_--世界安溪青年联谊会主题歌
- 凤凰于飞_福建省永定第一中学校歌
- 我要嫁给“蓝朋友”
- 仿陆游《示儿》诗
- 樱桃红了
- 凤凰城 干起来
- 西乌旗的传奇_内蒙古锡林郭勒盟西乌珠穆沁旗之歌
- 圆梦“中国圆心城”_四川达州之歌
- 丽水,妳怎么这样美丽可能适宜女声版
- 丽水,妳怎么这样美丽
- 大美“空中平原”_“贵州是平的”交通题材歌曲
- 贵州是平的_贵州道路新赞歌
- 我们是科学的电子闪光_北京电子科技学院之歌
- 博爱塑魂_南京特殊教育师范学院校歌
- 我家养了只小八哥歌词有修改
- 蒙自特色多
- 蒙自特色多
- 中国粮
- 中国粮
- 阳光路上歌声高_山西省阳高县之歌
- 今唱潼关丽_陕西潼关县之歌
- 物产丰富看潢川_河南省信阳市潢川县之歌
- 草原湖水清 军民情谊深_呼伦贝尔双拥歌曲
- 为体育事业添彩增光_湖北体育职业学院之歌
- 羲皇故里 魅力天水_甘肃省天水市之歌
- 安定团结 踔厉前行_甘肃省定西市安定区区歌
- 伯温烧饼真正棒_浙江文成县伯温烧饼赞
- 湾沚,湾沚,奋斗不止_芜湖湾沚区之歌
- 中南门古城敞开幸福门_贵州铜仁中南门古城之歌
- 西岭雪山四季欢_成都西岭雪山景区之歌
- 《茉莉花》乐声从太空中传来
- 爱您爱上加爱
- 精彩飞扬国际龙_扬州五亭龙国际玩具城之歌
- 精彩飞扬国际龙_扬州五亭龙国际玩具城之歌
- 闪亮在美丽梧州_广西工商技师学院院歌征集
猜你喜欢
热门曲谱
本站热搜
- 刘北休
- 周杰伦
- 赵宝祥
- 张朱论
- 于珂群
- 赵秀富
- 任清彪
- 动漫影视
- 杨培彬
- 佚名
- 刘志毅
- 颂今
- 邓丽君
- 刘恕
- 黄永杰
- 轻云望月
- 臧辉先
- 郭瑞峰
- 范修奎
- 今心勿念
- 高福友
- 李一泉
- 王立
- 未知
- echoLee
- 金一清
- 久石让
- 林俊杰
- 巴赫
- 车尔尼
- 李大江
- 印青
- 贝多芬
- 莫扎特
- 向邦瑜
- 张艺军
- 其他曲谱
- 肖邦
- 赵福林
- 吴世海
- 孙海生
- 黄清林
- 张德社
- 范景治
- 党继志
- 拜厄
- 陈伟
- 何顺贵
- 刘启华
- 陈奕迅
- 方文山
- 陈吉桂
- 李洪华
- 刘昌贵
- 刘爱斌
- 影视
- 宋祖英
- 车行
- 圣子
- 刘岐山
- 谌丽君
- 周深
- 孙书林
- 遥远
- 李繁花
- 张杰
- 阎维文
- 理查德·克莱德曼
- 世界名曲
- 石顺义
- 黎强
- 南梆子
- 银燕
- 孟庆云
- 陈能书
- 王菲
- 胡润华
- 中国名曲
- 谢伟
- 贺陆云
- 阎肃
- 鲁新华
- 罗鹏
- 徐沛东
- 陈普
- 王心田
- 杜旭光
- 倪永东
- (陈普)
- 梁静茹
- 笛子练习曲
- 李幼容
- 陈瑞
- 陈元绍
- 黄进军
- 戚建波
- 石进
- 陈道斌
- 雷佳
- 林夕
- 邹兴淮
- 谭晶
- 楼勤
- 伊璐琒
- 真情玲儿
- 谷建芬
- 李严
- 李娜
- 黎荣军
- 张学友
- 刘海斌
- 阿信
- 姚远富
- 王力宏
- 萧思林
- 许嵩
- 胡泽民
- 何丽华
- 张定月
- 詹姆斯·巴斯蒂安
- 阿汝汗
- 李斯特
- 邬大为
- 王丽达
- 刘德华
- 方翔
- 繁花笼雾
- 吴梦言
- 廖昌永
- 流行追梦人
- 瞿琮
- 克莱德曼
- 董宪瑞
- 范琳琳
- 薛之谦
- 朱长胜
- 韩磊
- 罗大佑
- 五月天
- 沈献智
- 王晓岭
- 张也
- 游戏
- 刘青
- 初音未来
- 雷宁
- 戴建华
- 许宝仁