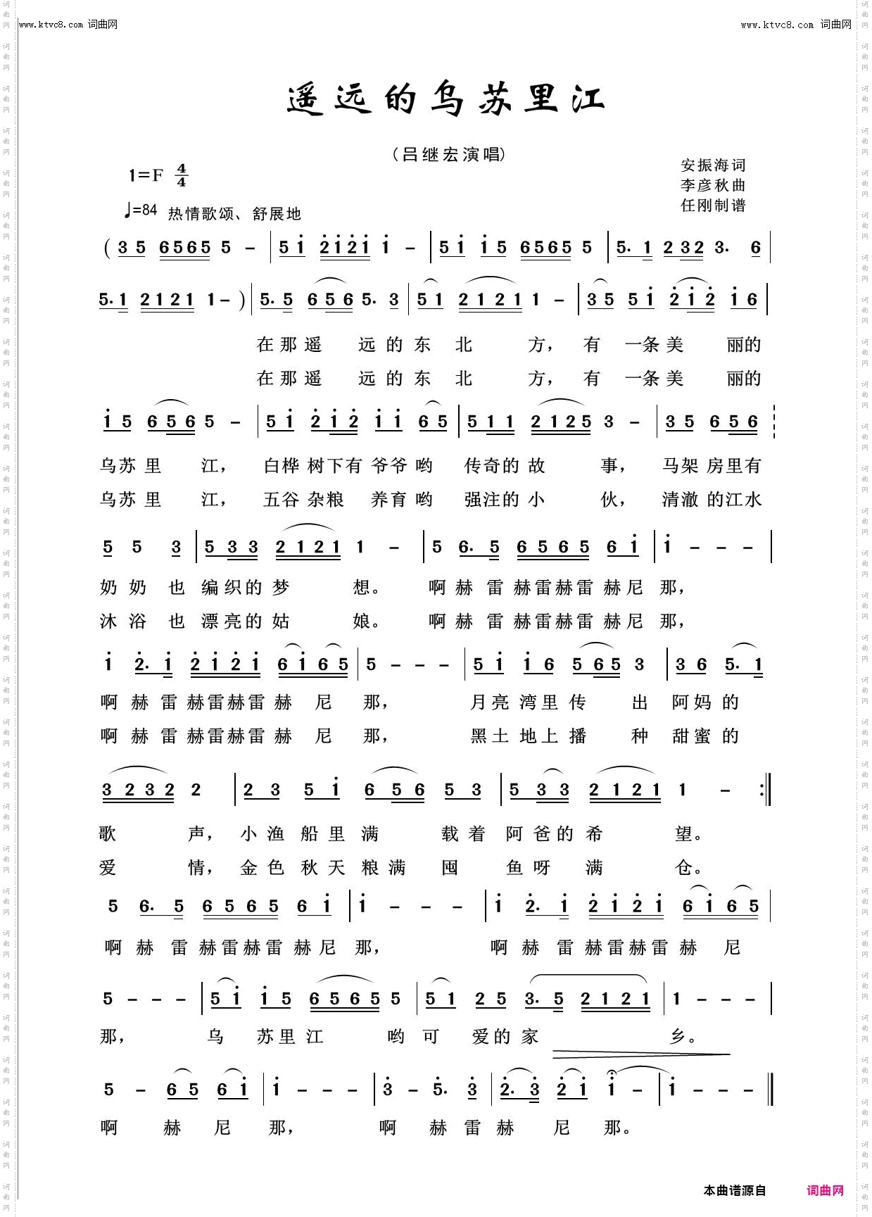
遥远的乌苏里江_壮美河山100首-简谱

简谱相关琴谱栏目:安振海 李彦秋

遥远的乌苏里江_壮美河山100首

点击页面上方免费下载和打印 遥远的乌苏里江_壮美河山100首曲谱,即可免费下载和打印本曲谱全部内容
简谱是音乐的密码本,音符是跳动的心电图。琴谱123曲谱网帮助每个热爱音乐的人学习乐器

全站海量简谱任你下载,帮你实现音乐梦

扫描右侧二维码手机上查阅遥远的乌苏里江_壮美河山100首的简谱

扫一扫二维码