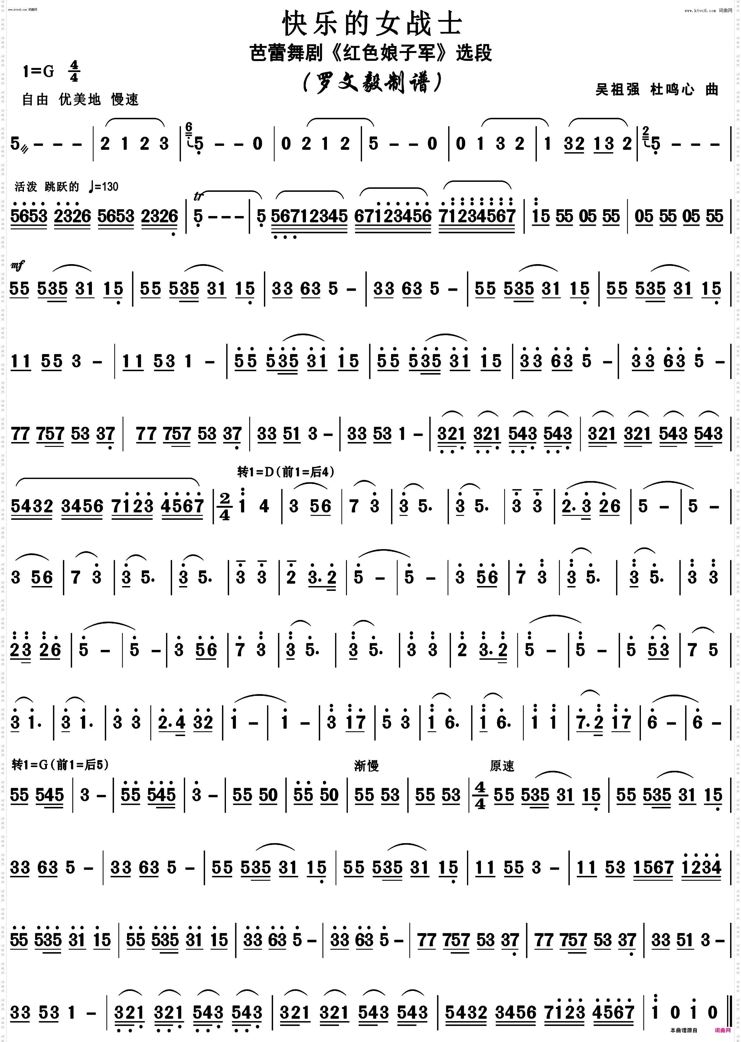
点击页面上方免费下载和打印 快乐的女战士_主旋律曲谱,即可免费下载和打印本曲谱全部内容
简谱是音乐的密码本,音符是跳动的心电图。琴谱123曲谱网帮助每个热爱音乐的人学习乐器
快乐的女战士_主旋律的相关曲谱
- 快乐的女战士
- 愿亲人早日养好伤_笛子演奏歌曲
- 洪湖水,浪打浪_《洪湖赤卫队》选曲-人音社1978原版 巴渝老叶收藏
- 手拿碟儿敲起来_《洪湖赤卫队》选曲-人音社1978原版 巴渝老叶收藏
- 万泉河水_混声合唱
- 嘎俄丽泰_混声合唱
- 万泉河水清又清_舞剧《红色娘子军》选曲
- 快乐的女战士_高清大音符带指法
- 嘎哦丽泰_哈萨克族民歌 混声合唱
- 嘎俄丽泰_混声四部合唱
- 嘎哦丽泰_混声四部合唱 男低音 哈萨克民歌
- 军民团结一家人_扬琴曲谱
- 万泉河水清又清
- 燕子_新疆哈萨克民歌
- 军民团结一家亲_歌声飘过60年
- 万泉河水清又纯_革命现代舞剧《红色娘子军》选段
- 军民团结一家亲_芭蕾舞剧《红色娘子军》选曲
- 《红色娘子军》选曲_器乐曲简谱
- 内依巴河
- 快乐的女战士_手风琴曲简谱版
- 水草舞
- 水草舞一选自舞剧《鱼美人》
- 第八级 珊瑚舞——选自舞剧《鱼美人》
- 珊瑚舞——选自舞剧《鱼美人》
- 水草舞——选自舞剧《鱼美人》
- 快乐的女战士
- 草原小姐妹独奏
- 草原小姐妹四手联弹
- 珊瑚舞——选自舞剧《鱼美人》
- 珊瑚舞——选自舞剧《鱼美人》
- 水草舞——选自舞剧《鱼美人》
- 水草舞一选自舞剧《鱼美人》
- 群鱼舞
- 《军民团结一家亲》万泉河水清又清 混声合唱伴奏谱
- 第九级Ⅰ 练习曲
- 珍珠舞
- 第十级 快乐的女战士——选自舞剧《红色娘子军》
- 水草舞-舞剧《鱼美人》选曲
- 珊瑚舞
- 快乐的女战士
- 珊瑚舞
- 快乐的女战士_木管五重奏
- 快乐的女战士
- 快乐的女战士——选自舞剧《红色娘子军》
- 水草舞
- 快乐的女战士小提琴二重奏/钢琴伴奏
- 杜鸣心 珊瑚舞 高清原版
- 水草舞芭蕾舞剧《鱼美人》选曲
- 珊瑚舞——选自舞剧《鱼美人》
- 快乐的女战士
猜你喜欢
热门曲谱
本站热搜
- 刘北休
- 周杰伦
- 赵宝祥
- 张朱论
- 于珂群
- 赵秀富
- 任清彪
- 动漫影视
- 杨培彬
- 佚名
- 刘志毅
- 颂今
- 邓丽君
- 刘恕
- 黄永杰
- 轻云望月
- 臧辉先
- 郭瑞峰
- 范修奎
- 今心勿念
- 高福友
- 李一泉
- 王立
- 未知
- echoLee
- 金一清
- 久石让
- 林俊杰
- 巴赫
- 车尔尼
- 李大江
- 印青
- 贝多芬
- 莫扎特
- 向邦瑜
- 张艺军
- 其他曲谱
- 肖邦
- 赵福林
- 吴世海
- 孙海生
- 黄清林
- 张德社
- 范景治
- 党继志
- 拜厄
- 陈伟
- 何顺贵
- 刘启华
- 陈奕迅
- 方文山
- 陈吉桂
- 李洪华
- 刘昌贵
- 刘爱斌
- 影视
- 宋祖英
- 车行
- 圣子
- 刘岐山
- 谌丽君
- 周深
- 孙书林
- 遥远
- 李繁花
- 张杰
- 阎维文
- 理查德·克莱德曼
- 世界名曲
- 石顺义
- 黎强
- 南梆子
- 银燕
- 孟庆云
- 陈能书
- 王菲
- 胡润华
- 中国名曲
- 谢伟
- 贺陆云
- 阎肃
- 鲁新华
- 罗鹏
- 徐沛东
- 陈普
- 王心田
- 杜旭光
- 倪永东
- (陈普)
- 梁静茹
- 笛子练习曲
- 李幼容
- 陈瑞
- 陈元绍
- 黄进军
- 戚建波
- 石进
- 陈道斌
- 雷佳
- 林夕
- 邹兴淮
- 谭晶
- 楼勤
- 伊璐琒
- 真情玲儿
- 谷建芬
- 李严
- 李娜
- 黎荣军
- 张学友
- 刘海斌
- 阿信
- 姚远富
- 王力宏
- 萧思林
- 许嵩
- 胡泽民
- 何丽华
- 张定月
- 詹姆斯·巴斯蒂安
- 阿汝汗
- 李斯特
- 邬大为
- 王丽达
- 刘德华
- 方翔
- 繁花笼雾
- 吴梦言
- 廖昌永
- 流行追梦人
- 瞿琮
- 克莱德曼
- 董宪瑞
- 范琳琳
- 薛之谦
- 朱长胜
- 韩磊
- 罗大佑
- 五月天
- 沈献智
- 王晓岭
- 张也
- 游戏
- 刘青
- 初音未来
- 雷宁
- 戴建华
- 许宝仁