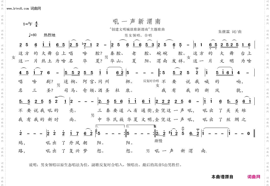
吼一声新渭南_“创建文明城放歌新渭南”主题歌曲-简谱

吼一声新渭南_“创建文明城放歌新渭南”主题歌曲

点击页面上方免费下载和打印 吼一声新渭南_“创建文明城放歌新渭南”主题歌曲曲谱,即可免费下载和打印本曲谱全部内容
简谱是音乐的密码本,音符是跳动的心电图。琴谱123曲谱网帮助每个热爱音乐的人学习乐器

全站海量简谱任你下载,帮你实现音乐梦

扫描右侧二维码手机上查阅吼一声新渭南_“创建文明城放歌新渭南”主题歌曲的简谱

扫一扫二维码