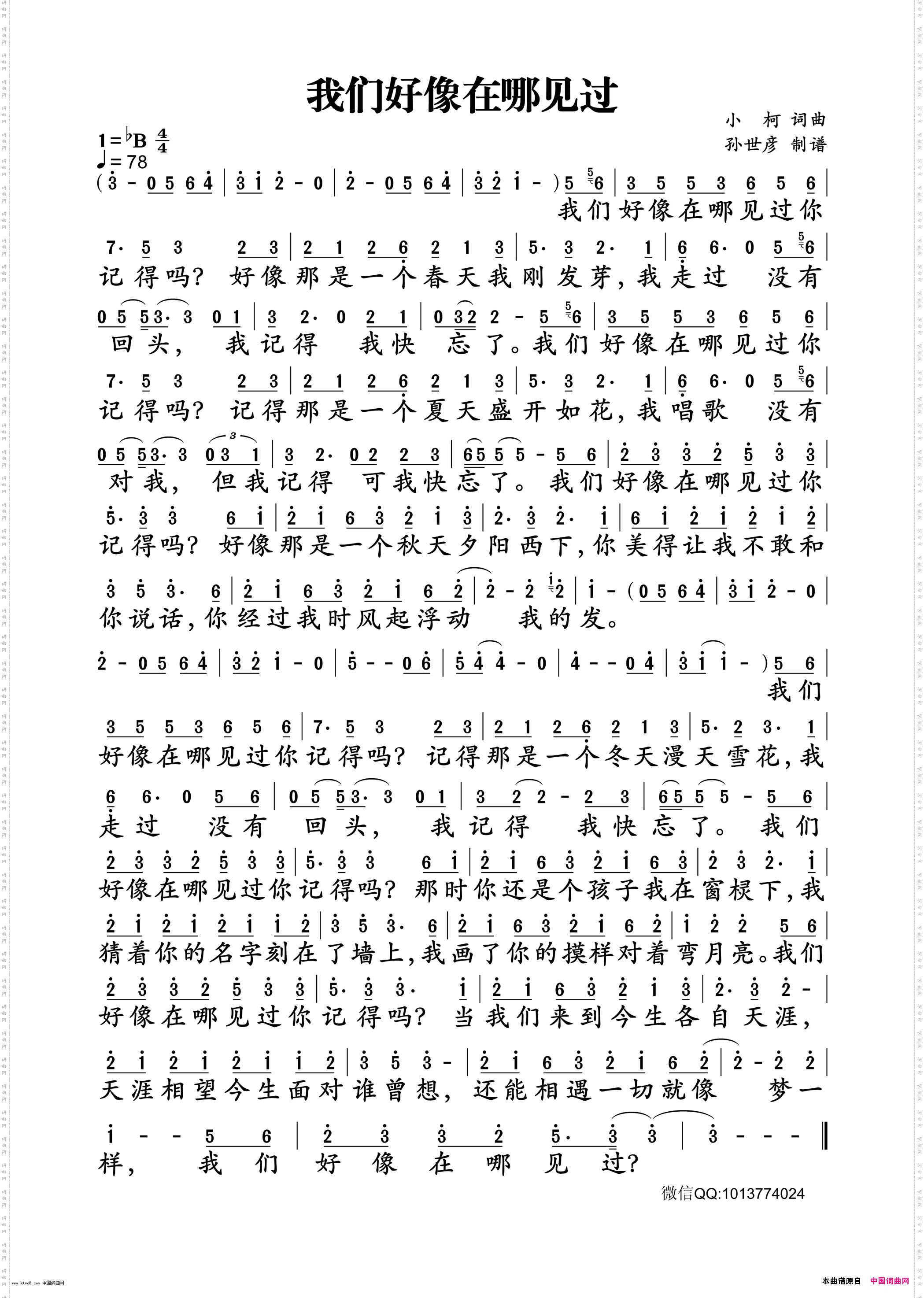
点击页面上方免费下载和打印 我们好像在哪见过曲谱,即可免费下载和打印本曲谱全部内容
简谱是音乐的密码本,音符是跳动的心电图。琴谱123曲谱网帮助每个热爱音乐的人学习乐器
我们好像在哪见过的相关曲谱
- 我变了 我没变_王莉、张大伟 对唱动态谱
- 我变了 我没变_王莉、张大伟 对唱演唱谱
- 想把我唱给你
- 当我们再相聚
- 我变了我没变_吉他谱-C调
- 倾国倾城
- 因为爱情_萨克斯乐曲原版伴奏
- 因为爱情_萨克斯乐曲伴奏之1/2
- 因为爱情_萨克斯乐曲F/bE调伴奏
- 天籁之爱_萨克斯乐曲bB调伴奏及伴奏1
- 天籁之爱_萨克斯乐曲原版伴奏/DJ伴奏
- 倾国倾城_萨克斯乐曲原版伴奏
- 稳稳的幸福_功能谱
- 失踪_功能谱
- 不要说话_功能谱
- 谁_吉他谱-C调
- 日子_歌声飘过60年
- 想把我唱给你听_吉他谱-G调
- 天籁之爱
- 等你爱我_电子琴简谱
- 谁_电子琴简谱
- 春风
- 最熟悉的陌生人_歌曲简谱
- 万家灯火
- 因为爱情_电子琴伴奏配器谱
- 赶羊调
- 赶羊调
- 赶羊调
- 《赶羊调》_mp4完整版
- 归去来 精编完整版
- 因为爱情
- 归去来
- 最熟悉的陌生人 C调简易版 萧亚轩
- 最熟悉的陌生人 原调简易版 萧亚轩
- 藏爱
- 我变了我没变_好听易弹杨宗纬
- 《北京欢迎你》-四手联弹-D调-2008年北京奥运会主题歌
- 值得一辈子去爱_歌星成名曲38
- 永远到底有多远_歌星成名曲37
- 值得一辈子去爱
- 永远到底有多远
- 倾国倾城简易版
- 我们好像在哪儿见过_C调易上手带指法 电视剧《咱们结婚吧》片尾曲
- 陈奕迅《不要说话》入门版简谱
- 稳稳的幸福
- 因为爱情琴歌王子Cai钢琴版C调
- 理想//《理想照耀中国》系列短剧主题曲-C调简单易上手
- 理想//《理想照耀中国》系列短剧主题曲-原调版
- 理想——《理想照耀中国》主题曲D调
- 理想——《理想照耀中国》主题曲C调
猜你喜欢
热门曲谱
本站热搜
- 刘北休
- 周杰伦
- 赵宝祥
- 张朱论
- 于珂群
- 赵秀富
- 任清彪
- 动漫影视
- 杨培彬
- 佚名
- 刘志毅
- 颂今
- 邓丽君
- 刘恕
- 黄永杰
- 轻云望月
- 臧辉先
- 郭瑞峰
- 范修奎
- 今心勿念
- 高福友
- 李一泉
- 王立
- 未知
- echoLee
- 金一清
- 久石让
- 林俊杰
- 巴赫
- 车尔尼
- 李大江
- 印青
- 贝多芬
- 莫扎特
- 向邦瑜
- 张艺军
- 其他曲谱
- 肖邦
- 赵福林
- 吴世海
- 孙海生
- 黄清林
- 张德社
- 范景治
- 党继志
- 拜厄
- 陈伟
- 何顺贵
- 刘启华
- 陈奕迅
- 方文山
- 陈吉桂
- 李洪华
- 刘昌贵
- 刘爱斌
- 影视
- 宋祖英
- 车行
- 圣子
- 刘岐山
- 谌丽君
- 周深
- 孙书林
- 遥远
- 李繁花
- 张杰
- 阎维文
- 理查德·克莱德曼
- 世界名曲
- 石顺义
- 黎强
- 南梆子
- 银燕
- 孟庆云
- 陈能书
- 王菲
- 胡润华
- 中国名曲
- 谢伟
- 贺陆云
- 阎肃
- 鲁新华
- 罗鹏
- 徐沛东
- 陈普
- 王心田
- 杜旭光
- 倪永东
- (陈普)
- 梁静茹
- 笛子练习曲
- 李幼容
- 陈瑞
- 陈元绍
- 黄进军
- 戚建波
- 石进
- 陈道斌
- 雷佳
- 林夕
- 邹兴淮
- 谭晶
- 楼勤
- 伊璐琒
- 真情玲儿
- 谷建芬
- 李严
- 李娜
- 黎荣军
- 张学友
- 刘海斌
- 阿信
- 姚远富
- 王力宏
- 萧思林
- 许嵩
- 胡泽民
- 何丽华
- 张定月
- 詹姆斯·巴斯蒂安
- 阿汝汗
- 李斯特
- 邬大为
- 王丽达
- 刘德华
- 方翔
- 繁花笼雾
- 吴梦言
- 廖昌永
- 流行追梦人
- 瞿琮
- 克莱德曼
- 董宪瑞
- 范琳琳
- 薛之谦
- 朱长胜
- 韩磊
- 罗大佑
- 五月天
- 沈献智
- 王晓岭
- 张也
- 游戏
- 刘青
- 初音未来
- 雷宁
- 戴建华
- 许宝仁