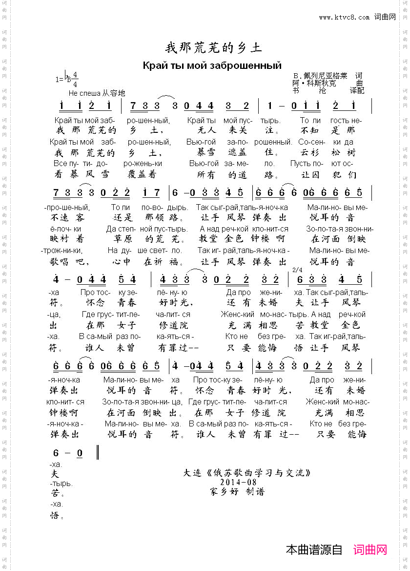
我那荒芜的乡土..Крайтымойзаброшенный中俄简谱_我那荒芜的乡土..Край ты мой заброшенный中俄简谱-简谱
简谱相关琴谱栏目:

点击页面上方免费下载和打印 我那荒芜的乡土..Крайтымойзаброшенный中俄简谱_我那荒芜的乡土..Край ты мой заброшенный中俄简谱曲谱,即可免费下载和打印本曲谱全部内容
简谱是音乐的密码本,音符是跳动的心电图。琴谱123曲谱网帮助每个热爱音乐的人学习乐器

点击页面上方免费下载和打印 我那荒芜的乡土..Крайтымойзаброшенный中俄简谱_我那荒芜的乡土..Край ты мой заброшенный中俄简谱曲谱,即可免费下载和打印本曲谱全部内容
简谱是音乐的密码本,音符是跳动的心电图。琴谱123曲谱网帮助每个热爱音乐的人学习乐器