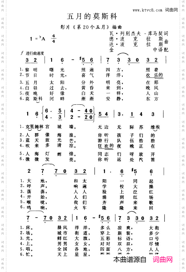
五月莫斯科Москвамайская中文简谱_五月莫斯科Москва майская中文简谱-简谱
简谱相关琴谱栏目:瓦·列别杰夫-库马契 德·波克拉斯 达·波克拉斯


点击页面上方免费下载和打印 五月莫斯科Москвамайская中文简谱_五月莫斯科Москва майская中文简谱曲谱,即可免费下载和打印本曲谱全部内容
简谱是音乐的密码本,音符是跳动的心电图。琴谱123曲谱网帮助每个热爱音乐的人学习乐器


点击页面上方免费下载和打印 五月莫斯科Москвамайская中文简谱_五月莫斯科Москва майская中文简谱曲谱,即可免费下载和打印本曲谱全部内容
简谱是音乐的密码本,音符是跳动的心电图。琴谱123曲谱网帮助每个热爱音乐的人学习乐器