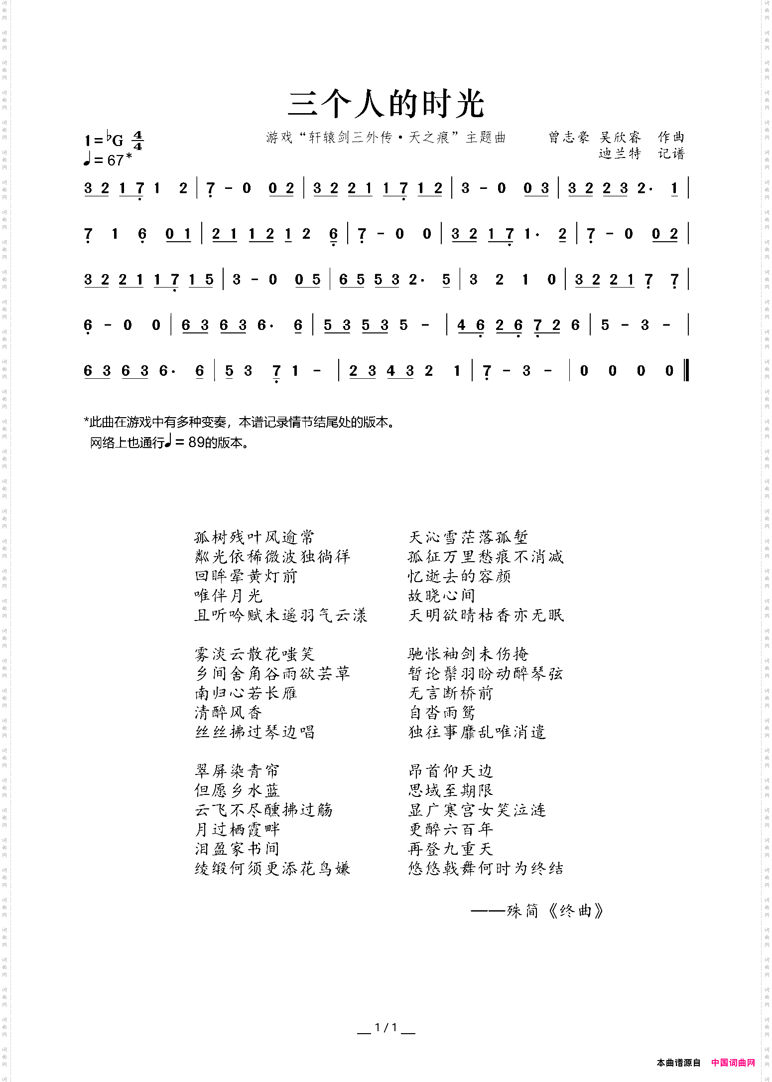
点击页面上方免费下载和打印 三个人的时光_纯音乐主旋律谱曲谱,即可免费下载和打印本曲谱全部内容
简谱是音乐的密码本,音符是跳动的心电图。琴谱123曲谱网帮助每个热爱音乐的人学习乐器
三个人的时光_纯音乐主旋律谱的相关曲谱
- 太平欢_ 《仙剑奇侠传四》游戏背景音乐
- 人间辞_ 《仙剑奇侠传六》游戏顾寒江人物音乐
- 余杭春日·变奏_ 《仙剑奇侠传二》游戏背景音乐
- 忆童年_ 《仙剑奇侠传二》游戏背景音乐
- 玄色风_ 《仙剑奇侠传三》游戏重楼人物音乐
- 乌衣巷_ 《仙剑奇侠传五》游戏背景音乐
- 林间慢_ 《仙剑奇侠传四》游戏背景音乐
- 玲珑祈_ 《仙剑奇侠传六》游戏越祈人物音乐
- 神佑·变奏_《仙剑奇侠传二》游戏背景音乐
- 昔影_轩辕剑叁外传 天之痕插曲
- 江南好_《仙剑奇侠传二》游戏背景音乐
- 浮光跃金_《仙剑奇侠传七》游戏战斗音乐
- 摄魂魄_仙剑奇侠传七钢琴谱
- 少年游
- 三个人的时光 by winshy
- 昔影
- 醉思凡尘归云梦-仙剑奇侠传四
- 寒声碎
- 玄霄梦境背景音乐 醉思凡尘 仙剑奇侠传四
- 三个人的时光钢琴版《天之痕》-超好听超泪目钢琴曲
- 仙剑四-步虚词-钢琴独奏版
- 青玉案-吴欣叡-仙剑奇侠传三龙葵插曲-好弹又好听
- 《牵绊》仙剑五前传
- 三个人的时光
- 天之痕三个人的时光
- 昔影--<<天之痕>>插曲
- 三个人的时光C调唯美版
- 仙剑五·心愿
- 燕归来变调
- 三个人的时光 C调简单优美版
- 【纯粹】《昔影》天之痕完美版
- 【声音最接近原版】三个人的时光天之痕
- 三个人的时光
- 仙三-龙葵-青玉案
- 【纯粹】三个人的时光《天之痕》完美版
- 天之痕 三个人的时光 C调简易版 经典流行
- 【声音最接近原版】三个人的时光天之痕
- 三个人的时光 by winshy
- 仙剑5 心愿
- 三个人的时光《天之痕》纯音乐
- 命起涟漪-仙剑奇侠传五配乐-EOP教学曲_简谱版
- 三个人的时光-轩辕剑三外传天之痕主题曲_简谱版
- 仙剑五—心愿修改
- 仙剑五 心愿 L7修改版
- 青玉案-仙剑奇侠传三龙葵主题曲_简谱版
- 命起涟漪-仙剑奇侠传五配乐-EOP教学曲
- 三个人的时光-轩辕剑三外传天之痕主题曲
- 青玉案-仙剑奇侠传三龙葵主题曲
- 挥剑问苍天_《仙剑奇侠传七》游戏主题歌曲
- 少年情
猜你喜欢
热门曲谱
本站热搜
- 刘北休
- 周杰伦
- 赵宝祥
- 张朱论
- 于珂群
- 赵秀富
- 任清彪
- 动漫影视
- 杨培彬
- 佚名
- 刘志毅
- 颂今
- 邓丽君
- 刘恕
- 黄永杰
- 轻云望月
- 臧辉先
- 郭瑞峰
- 范修奎
- 今心勿念
- 高福友
- 李一泉
- 王立
- 未知
- echoLee
- 金一清
- 久石让
- 林俊杰
- 巴赫
- 车尔尼
- 李大江
- 印青
- 贝多芬
- 莫扎特
- 向邦瑜
- 张艺军
- 其他曲谱
- 肖邦
- 赵福林
- 吴世海
- 孙海生
- 黄清林
- 张德社
- 范景治
- 党继志
- 拜厄
- 陈伟
- 何顺贵
- 刘启华
- 陈奕迅
- 方文山
- 陈吉桂
- 李洪华
- 刘昌贵
- 刘爱斌
- 影视
- 宋祖英
- 车行
- 圣子
- 刘岐山
- 谌丽君
- 周深
- 孙书林
- 遥远
- 李繁花
- 张杰
- 阎维文
- 理查德·克莱德曼
- 世界名曲
- 石顺义
- 黎强
- 南梆子
- 银燕
- 孟庆云
- 陈能书
- 王菲
- 胡润华
- 中国名曲
- 谢伟
- 贺陆云
- 阎肃
- 鲁新华
- 罗鹏
- 徐沛东
- 陈普
- 王心田
- 杜旭光
- 倪永东
- (陈普)
- 梁静茹
- 笛子练习曲
- 李幼容
- 陈瑞
- 陈元绍
- 黄进军
- 戚建波
- 石进
- 陈道斌
- 雷佳
- 林夕
- 邹兴淮
- 谭晶
- 楼勤
- 伊璐琒
- 真情玲儿
- 谷建芬
- 李严
- 李娜
- 黎荣军
- 张学友
- 刘海斌
- 阿信
- 姚远富
- 王力宏
- 萧思林
- 许嵩
- 胡泽民
- 何丽华
- 张定月
- 詹姆斯·巴斯蒂安
- 阿汝汗
- 李斯特
- 邬大为
- 王丽达
- 刘德华
- 方翔
- 繁花笼雾
- 吴梦言
- 廖昌永
- 流行追梦人
- 瞿琮
- 克莱德曼
- 董宪瑞
- 范琳琳
- 薛之谦
- 朱长胜
- 韩磊
- 罗大佑
- 五月天
- 沈献智
- 王晓岭
- 张也
- 游戏
- 刘青
- 初音未来
- 雷宁
- 戴建华
- 许宝仁