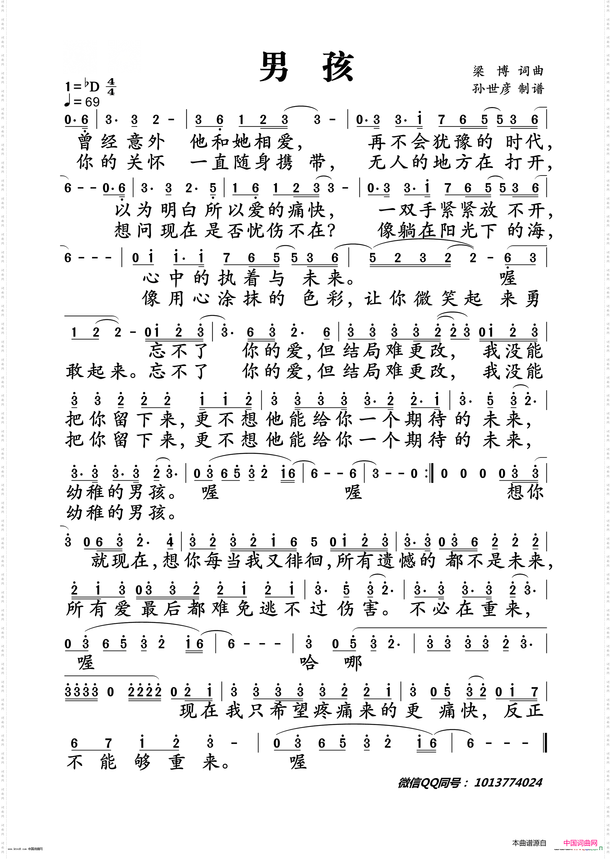
点击页面上方免费下载和打印 男孩曲谱,即可免费下载和打印本曲谱全部内容
简谱是音乐的密码本,音符是跳动的心电图。琴谱123曲谱网帮助每个热爱音乐的人学习乐器
男孩的相关曲谱
- 老男孩
- 老男孩_C调简易钢琴弹唱 带歌词
- My Love_演唱:【爱尔兰】西域男孩
- Don't Break My Heat_鼓谱
- 我爱你中国_鼓谱
- 男孩别哭_鼓谱
- 男孩_鼓谱
- 灵魂歌手_鼓谱
- 寂寞的小男孩
- 丹尼男孩_爱尔兰民歌 手风琴五线谱
- 男孩_功能谱
- Drowning
- 男孩_功能谱
- 出现又离开
- 男孩别哭_功能谱
- 老男孩_萨克斯乐曲原版伴奏
- 老男孩_萨克斯乐曲bE/C调伴奏
- 我知
- 阳光男孩_乐队谱
- 我不知道_吉他谱-C调
- 男孩_吉他谱-C调
- As Long As You Love Me后街男孩最经典 C大调带歌词独奏钢琴谱 附带示范音频
- 小男孩乐团-F调 《让我听见你》【带歌词】
- 父亲 老男孩
- 老男孩_吉他谱-C调
- 男孩_钢琴 C调简易版 梁博
- 男孩 原调简易版本 梁博
- Swear it again 钢琴谱 Westlife西城男孩
- 那个男孩
- 欧美流行 钢琴 You raise me up 你鼓舞了我 Westlife 西城男孩
- 是你 就是南方凯
- 刘大壮 六月晴天 C调
- 刘大壮 六月晴天 A调原调
- 刘大壮 六月晴天 C调弹唱谱 带歌词 简单易弹
- 爱我不要耍老千
- the rose
- 丹尼男孩长笛
- You Raise Me Up
- I lay my love on you
- 男孩——钢琴伴奏谱
- 月光 七月男孩
- 男孩 独奏版 原调 梁博
- 警告
- 极限原版 -- --A调--啊信改编
- 戏水男孩
- 戏水男孩
- the one
- 戏水男孩
- Uptown Girl Little Band Part
- 亡灵男孩
猜你喜欢
热门曲谱
本站热搜
- 刘北休
- 周杰伦
- 赵宝祥
- 张朱论
- 于珂群
- 赵秀富
- 任清彪
- 动漫影视
- 杨培彬
- 佚名
- 刘志毅
- 颂今
- 邓丽君
- 刘恕
- 黄永杰
- 轻云望月
- 臧辉先
- 郭瑞峰
- 范修奎
- 今心勿念
- 高福友
- 李一泉
- 王立
- 未知
- echoLee
- 金一清
- 久石让
- 林俊杰
- 巴赫
- 车尔尼
- 李大江
- 印青
- 贝多芬
- 莫扎特
- 向邦瑜
- 张艺军
- 其他曲谱
- 肖邦
- 赵福林
- 吴世海
- 孙海生
- 黄清林
- 张德社
- 范景治
- 党继志
- 拜厄
- 陈伟
- 何顺贵
- 刘启华
- 陈奕迅
- 方文山
- 陈吉桂
- 李洪华
- 刘昌贵
- 刘爱斌
- 影视
- 宋祖英
- 车行
- 圣子
- 刘岐山
- 谌丽君
- 周深
- 孙书林
- 遥远
- 李繁花
- 张杰
- 阎维文
- 理查德·克莱德曼
- 世界名曲
- 石顺义
- 黎强
- 南梆子
- 银燕
- 孟庆云
- 陈能书
- 王菲
- 胡润华
- 中国名曲
- 谢伟
- 贺陆云
- 阎肃
- 鲁新华
- 罗鹏
- 徐沛东
- 陈普
- 王心田
- 杜旭光
- 倪永东
- (陈普)
- 梁静茹
- 笛子练习曲
- 李幼容
- 陈瑞
- 陈元绍
- 黄进军
- 戚建波
- 石进
- 陈道斌
- 雷佳
- 林夕
- 邹兴淮
- 谭晶
- 楼勤
- 伊璐琒
- 真情玲儿
- 谷建芬
- 李严
- 李娜
- 黎荣军
- 张学友
- 刘海斌
- 阿信
- 姚远富
- 王力宏
- 萧思林
- 许嵩
- 胡泽民
- 何丽华
- 张定月
- 詹姆斯·巴斯蒂安
- 阿汝汗
- 李斯特
- 邬大为
- 王丽达
- 刘德华
- 方翔
- 繁花笼雾
- 吴梦言
- 廖昌永
- 流行追梦人
- 瞿琮
- 克莱德曼
- 董宪瑞
- 范琳琳
- 薛之谦
- 朱长胜
- 韩磊
- 罗大佑
- 五月天
- 沈献智
- 王晓岭
- 张也
- 游戏
- 刘青
- 初音未来
- 雷宁
- 戴建华
- 许宝仁