点击页面上方免费下载和打印 时间飞行曲谱,即可免费下载和打印本曲谱全部内容
简谱是音乐的密码本,音符是跳动的心电图。琴谱123曲谱网帮助每个热爱音乐的人学习乐器
时间飞行的相关曲谱
- 掌心时光_《舍不得星星》电视剧片尾曲
- 终于
- 嘿少年_2024年中央广播电视总台春节联欢晚会
- 嘿 少年_2024春晚王凯、陈伟霆、朱一龙等演唱
- 嘿少年
- 嘿 少年_2024春晚歌曲
- 种星星的人_吉他谱-G调
- 桃花劫
- 时代号子_央视2019年春节联欢晚会
- 如果爱记得_《乐游原》电视剧片尾曲
- 许我一生_ 《玉骨遥》电视剧片头曲
- 玉骨遥
- 寻_ 《唐朝诡事录》网络剧片尾曲
- 病毒走开
- 你我之间-武动乾坤-片尾曲
- 邓紫棋-a《桃花诺》《上古情歌》片尾曲、完整版
- 焰火 《点燃我,温暖你》主题曲 - C调简单版 - 附歌词
- 谜-电视剧《武动乾坤》片尾曲
- 荒城渡_ 电视剧《陈情令》薛洋人物曲
- 周深-D《焰火》《点燃我,温暖你》主题曲,完整版
- 周深-C《焰火》《点燃我,温暖你》主题曲、完整版
- 《焰火》点燃我温暖你 主题曲
- 《焰火》点燃我温暖你 主题曲
- 最幸运的幸运 电视剧《余生,请多指教》片尾曲 - 肖战
- 余生,请多指教 《余生,请多指教》电视剧主题曲 - 杨紫/肖战
- 余生,请多指教 《余生,请多指教》电视剧主题曲 - 杨紫/肖战
- 好听易弹【在青春里遇见】卜冠今忽而今夏
- 寻 《唐朝诡事录》主题曲-C调简易
- 一个人喜欢一个人_《余生,请多指教》电视剧片尾曲杨紫钢琴谱
- 一个人喜欢一个人_《余生,请多指教》电视剧片尾曲钢琴
- 焰火_钢琴精编独奏版《点燃我,温暖你》主题曲-D大调
- 周深《焰火》C调《点燃我,温暖你》主题曲
- 周深《焰火》D调《点燃我,温暖你》主题曲
- 桃花诺 《上古情歌》电视剧片尾曲 - G·E·M· 邓紫棋 Gem Tang【独奏】
- 时间飞行 《镇魂》超级网剧推广曲 - 白宇/朱一龙
- 时间飞行 《镇魂》超级网剧推广曲 - 白宇/朱一龙
- 爱是不放手-摩登兄弟刘宇宁 钢琴谱
- 爱是不放手-刘宇宁F调钢琴谱
- 爱是不放手——电视剧《谁都知道我爱你》片尾曲
- 爱是不放手——电视剧《谁都知道我爱你》片尾曲
- 寻《唐朝诡事录》片尾曲【精编独奏版】-E大调-于毅
- 种星星的人_电影《人生大事》片尾曲
- 种星星的人_电影《人生大事片尾曲》
- 两个人的小森林
- 电视剧《叛逆者》片尾同名主题曲-前奏
- <桃花诺>
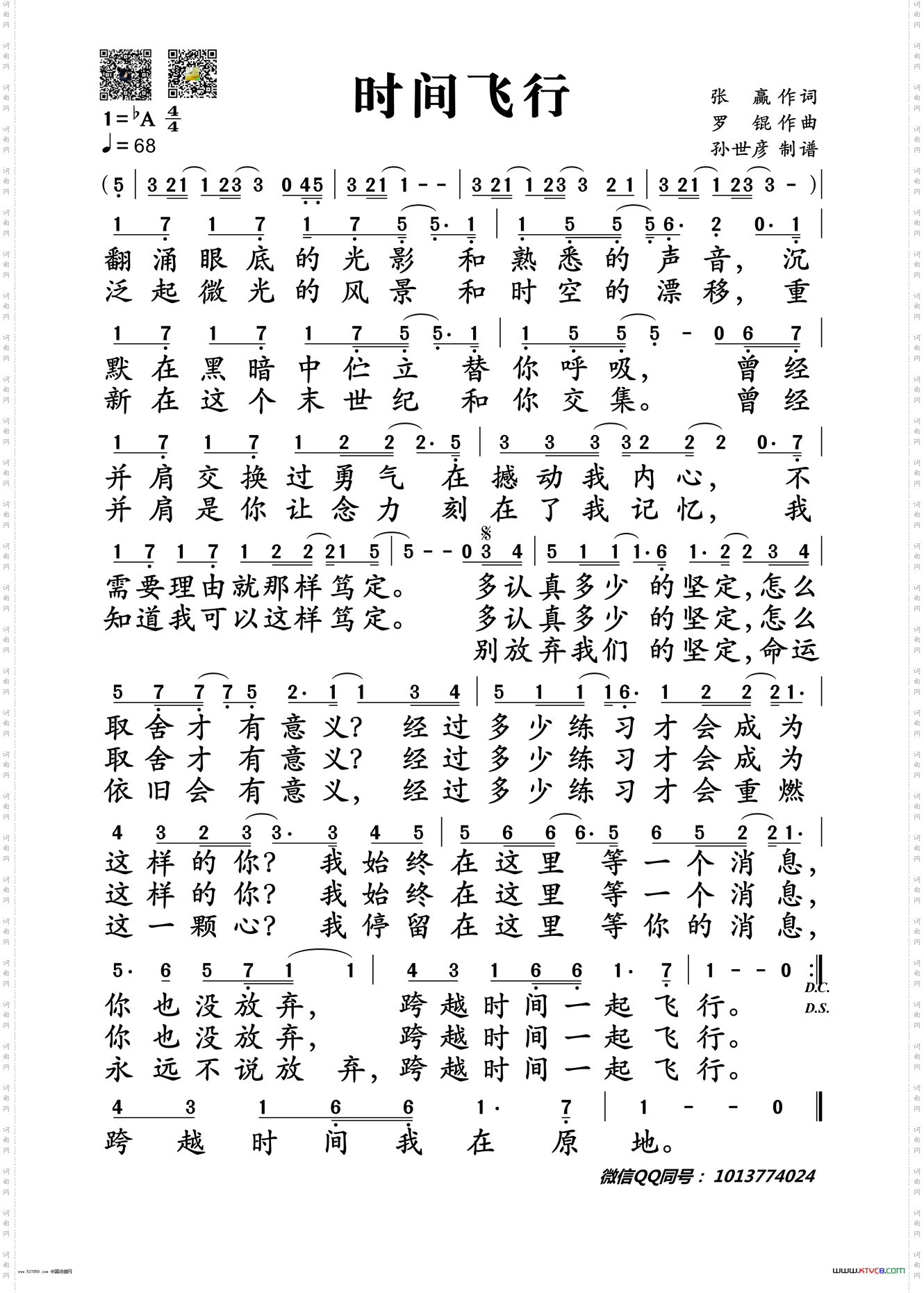
- 时间飞行
- 意外
- 往下跳
- 流年 电影主题曲
猜你喜欢
热门曲谱
本站热搜
- 刘北休
- 周杰伦
- 赵宝祥
- 张朱论
- 于珂群
- 赵秀富
- 任清彪
- 动漫影视
- 杨培彬
- 佚名
- 刘志毅
- 颂今
- 邓丽君
- 刘恕
- 黄永杰
- 轻云望月
- 臧辉先
- 郭瑞峰
- 范修奎
- 今心勿念
- 高福友
- 李一泉
- 王立
- 未知
- echoLee
- 金一清
- 久石让
- 林俊杰
- 巴赫
- 车尔尼
- 李大江
- 印青
- 贝多芬
- 莫扎特
- 向邦瑜
- 张艺军
- 其他曲谱
- 肖邦
- 赵福林
- 吴世海
- 孙海生
- 黄清林
- 张德社
- 范景治
- 党继志
- 拜厄
- 陈伟
- 何顺贵
- 刘启华
- 陈奕迅
- 方文山
- 陈吉桂
- 李洪华
- 刘昌贵
- 刘爱斌
- 影视
- 宋祖英
- 车行
- 圣子
- 刘岐山
- 谌丽君
- 周深
- 孙书林
- 遥远
- 李繁花
- 张杰
- 阎维文
- 理查德·克莱德曼
- 世界名曲
- 石顺义
- 黎强
- 南梆子
- 银燕
- 孟庆云
- 陈能书
- 王菲
- 胡润华
- 中国名曲
- 谢伟
- 贺陆云
- 阎肃
- 鲁新华
- 罗鹏
- 徐沛东
- 陈普
- 王心田
- 杜旭光
- 倪永东
- (陈普)
- 梁静茹
- 笛子练习曲
- 李幼容
- 陈瑞
- 陈元绍
- 黄进军
- 戚建波
- 石进
- 陈道斌
- 雷佳
- 林夕
- 邹兴淮
- 谭晶
- 楼勤
- 伊璐琒
- 真情玲儿
- 谷建芬
- 李严
- 李娜
- 黎荣军
- 张学友
- 刘海斌
- 阿信
- 姚远富
- 王力宏
- 萧思林
- 许嵩
- 胡泽民
- 何丽华
- 张定月
- 詹姆斯·巴斯蒂安
- 阿汝汗
- 李斯特
- 邬大为
- 王丽达
- 刘德华
- 方翔
- 繁花笼雾
- 吴梦言
- 廖昌永
- 流行追梦人
- 瞿琮
- 克莱德曼
- 董宪瑞
- 范琳琳
- 薛之谦
- 朱长胜
- 韩磊
- 罗大佑
- 五月天
- 沈献智
- 王晓岭
- 张也
- 游戏
- 刘青
- 初音未来
- 雷宁
- 戴建华
- 许宝仁