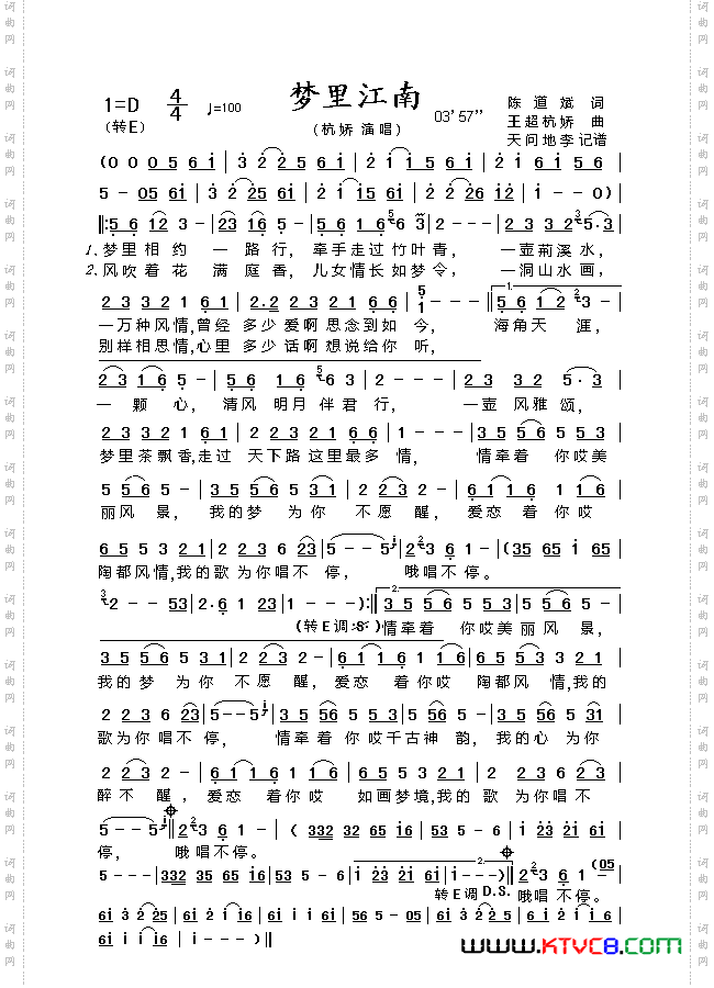
梦里江南陈道斌词王超杭娇曲_梦里江南陈道斌词 王超 杭娇曲-简谱

简谱相关琴谱栏目:陈道斌 王超 杭娇 杭娇

梦里江南陈道斌词王超杭娇曲_梦里江南陈道斌词 王超 杭娇曲

点击页面上方免费下载和打印 梦里江南陈道斌词王超杭娇曲_梦里江南陈道斌词 王超 杭娇曲曲谱,即可免费下载和打印本曲谱全部内容
简谱是音乐的密码本,音符是跳动的心电图。琴谱123曲谱网帮助每个热爱音乐的人学习乐器

全站海量简谱任你下载,帮你实现音乐梦

扫描右侧二维码手机上查阅梦里江南陈道斌词王超杭娇曲_梦里江南陈道斌词 王超 杭娇曲的简谱

扫一扫二维码