好姐妹儿谢淑清词黄青林曲_好姐妹儿谢淑清词 黄青林曲-简谱
简谱相关琴谱栏目:

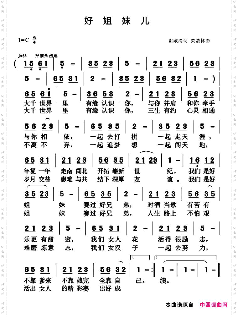
点击页面上方免费下载和打印 好姐妹儿谢淑清词黄青林曲_好姐妹儿谢淑清词 黄青林曲曲谱,即可免费下载和打印本曲谱全部内容
简谱是音乐的密码本,音符是跳动的心电图。琴谱123曲谱网帮助每个热爱音乐的人学习乐器

点击页面上方免费下载和打印 好姐妹儿谢淑清词黄青林曲_好姐妹儿谢淑清词 黄青林曲曲谱,即可免费下载和打印本曲谱全部内容
简谱是音乐的密码本,音符是跳动的心电图。琴谱123曲谱网帮助每个热爱音乐的人学习乐器