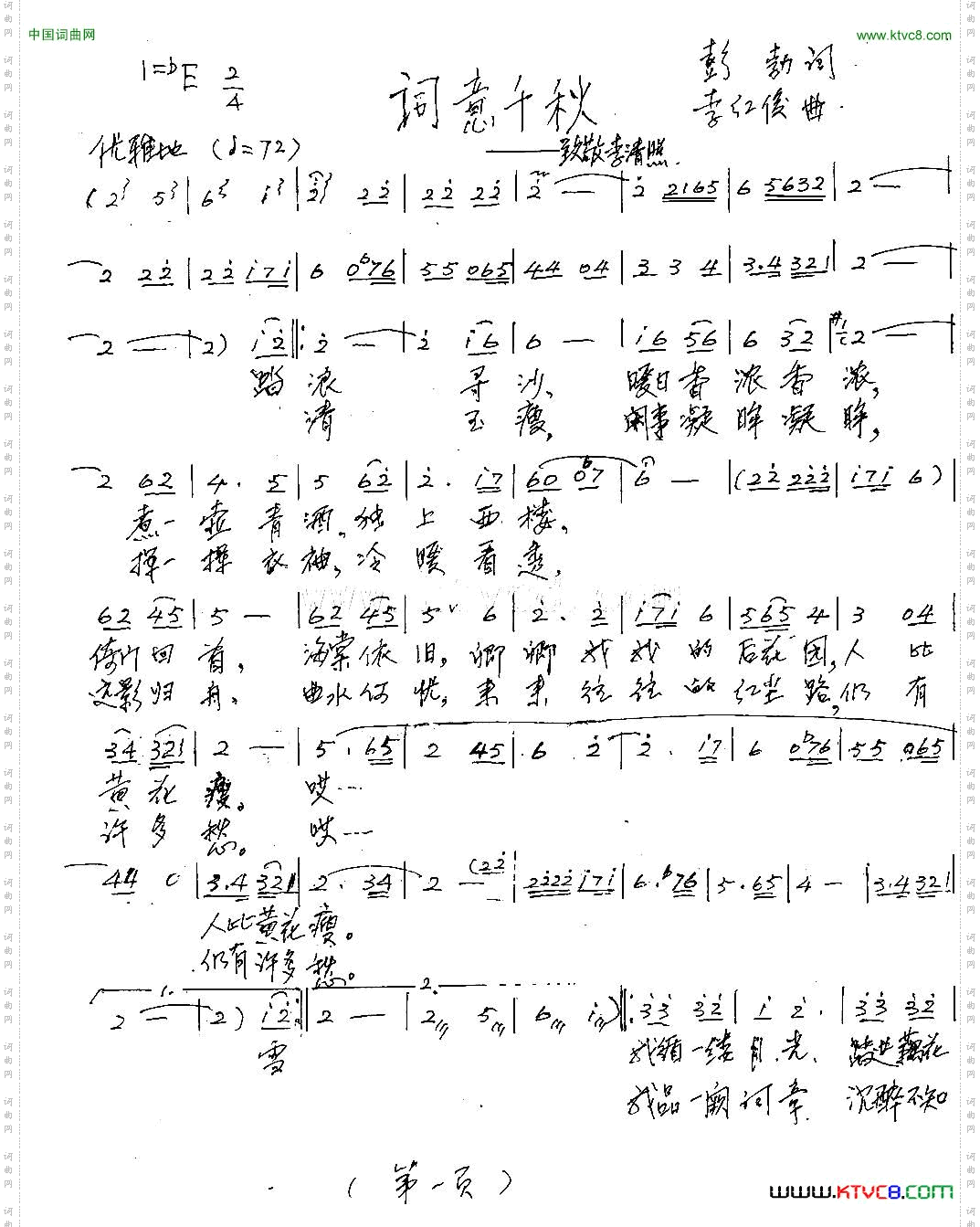
词意千秋致敬李清照-简谱

简谱相关琴谱栏目:彭勃 李红俊 月亮小茉

词意千秋致敬李清照

词意千秋致敬李清照

点击页面上方免费下载和打印 词意千秋致敬李清照曲谱,即可免费下载和打印本曲谱全部内容
简谱是音乐的密码本,音符是跳动的心电图。琴谱123曲谱网帮助每个热爱音乐的人学习乐器

全站海量简谱任你下载,帮你实现音乐梦

扫描右侧二维码手机上查阅词意千秋致敬李清照的简谱

扫一扫二维码