全站搜索
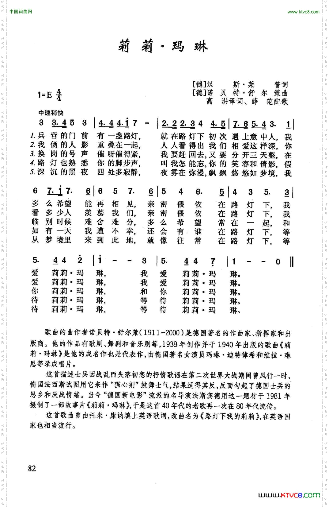
点击页面上方免费下载和打印 莉莉·玛琳曲谱,即可免费下载和打印本曲谱全部内容简谱是音乐的密码本,音符是跳动的心电图。琴谱123曲谱网帮助每个热爱音乐的人学习乐器
扫描右侧二维码手机上查阅莉莉·玛琳的简谱
扫一扫二维码