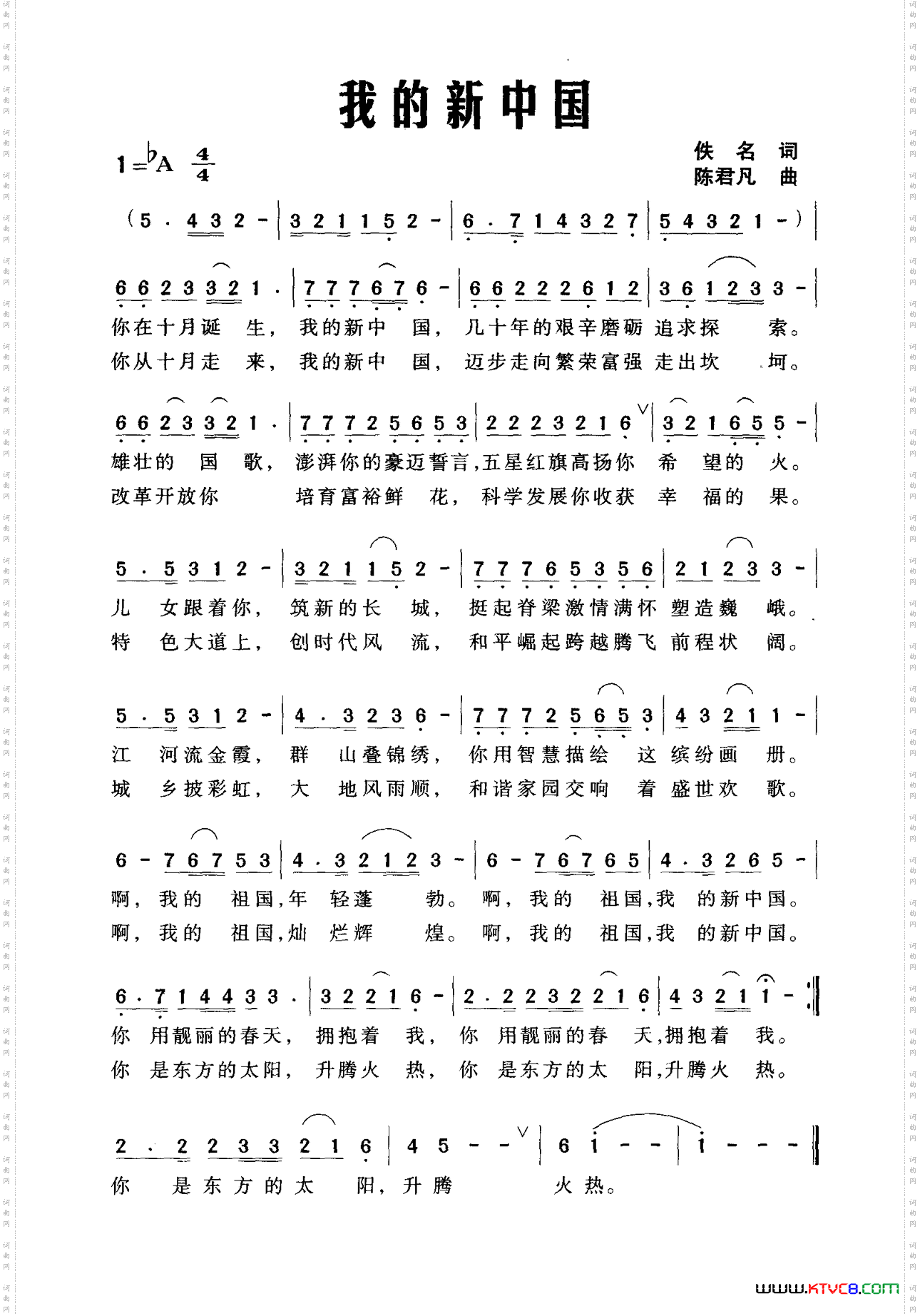
我的新中国佚名词陈君凡曲_我的新中国佚名词 陈君凡曲-简谱
简谱相关琴谱栏目:

点击页面上方免费下载和打印 我的新中国佚名词陈君凡曲_我的新中国佚名词 陈君凡曲曲谱,即可免费下载和打印本曲谱全部内容
简谱是音乐的密码本,音符是跳动的心电图。琴谱123曲谱网帮助每个热爱音乐的人学习乐器

点击页面上方免费下载和打印 我的新中国佚名词陈君凡曲_我的新中国佚名词 陈君凡曲曲谱,即可免费下载和打印本曲谱全部内容
简谱是音乐的密码本,音符是跳动的心电图。琴谱123曲谱网帮助每个热爱音乐的人学习乐器