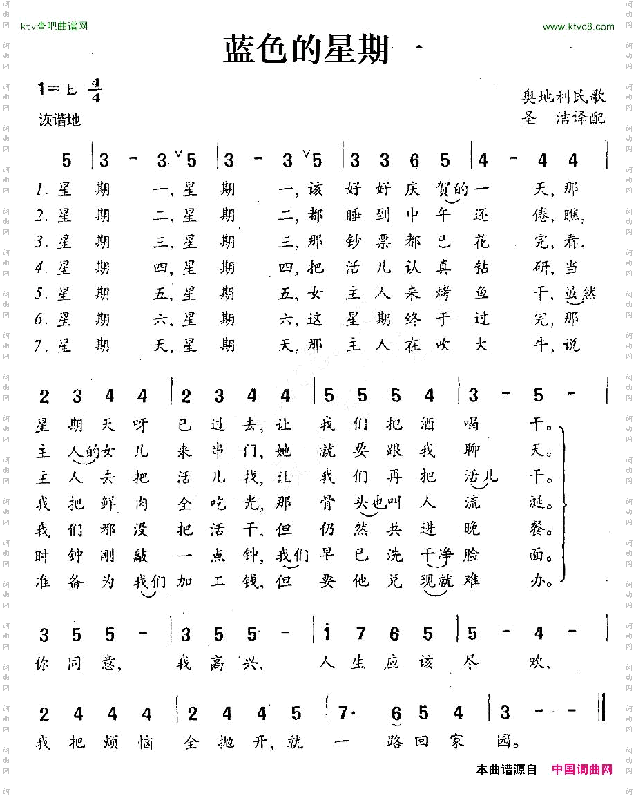
[奥地利]蓝色的星期一-简谱

简谱相关琴谱栏目:奥地利民歌 圣洁译配

[奥地利]蓝色的星期一

点击页面上方免费下载和打印 [奥地利]蓝色的星期一曲谱,即可免费下载和打印本曲谱全部内容
简谱是音乐的密码本,音符是跳动的心电图。琴谱123曲谱网帮助每个热爱音乐的人学习乐器

全站海量简谱任你下载,帮你实现音乐梦

扫描右侧二维码手机上查阅[奥地利]蓝色的星期一的简谱

扫一扫二维码