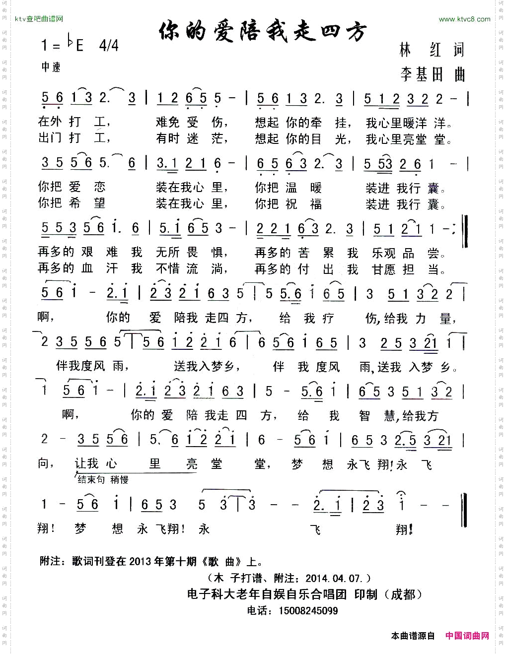
你的爱陪我走四方-简谱

简谱相关琴谱栏目:林红 李基田

你的爱陪我走四方

你的爱陪我走四方

点击页面上方免费下载和打印 你的爱陪我走四方曲谱,即可免费下载和打印本曲谱全部内容
简谱是音乐的密码本,音符是跳动的心电图。琴谱123曲谱网帮助每个热爱音乐的人学习乐器

全站海量简谱任你下载,帮你实现音乐梦

扫描右侧二维码手机上查阅你的爱陪我走四方的简谱

扫一扫二维码