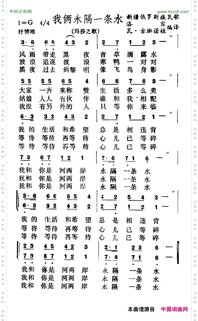
我俩永隔一条水新疆俄罗斯族民歌-简谱

简谱相关琴谱栏目:新疆俄罗斯族民歌

我俩永隔一条水新疆俄罗斯族民歌

我俩永隔一条水新疆俄罗斯族民歌

点击页面上方免费下载和打印 我俩永隔一条水新疆俄罗斯族民歌曲谱,即可免费下载和打印本曲谱全部内容
简谱是音乐的密码本,音符是跳动的心电图。琴谱123曲谱网帮助每个热爱音乐的人学习乐器

全站海量简谱任你下载,帮你实现音乐梦

扫描右侧二维码手机上查阅我俩永隔一条水新疆俄罗斯族民歌的简谱

扫一扫二维码