我需要爱-简谱

简谱相关琴谱栏目:我需要爱 美国歌曲

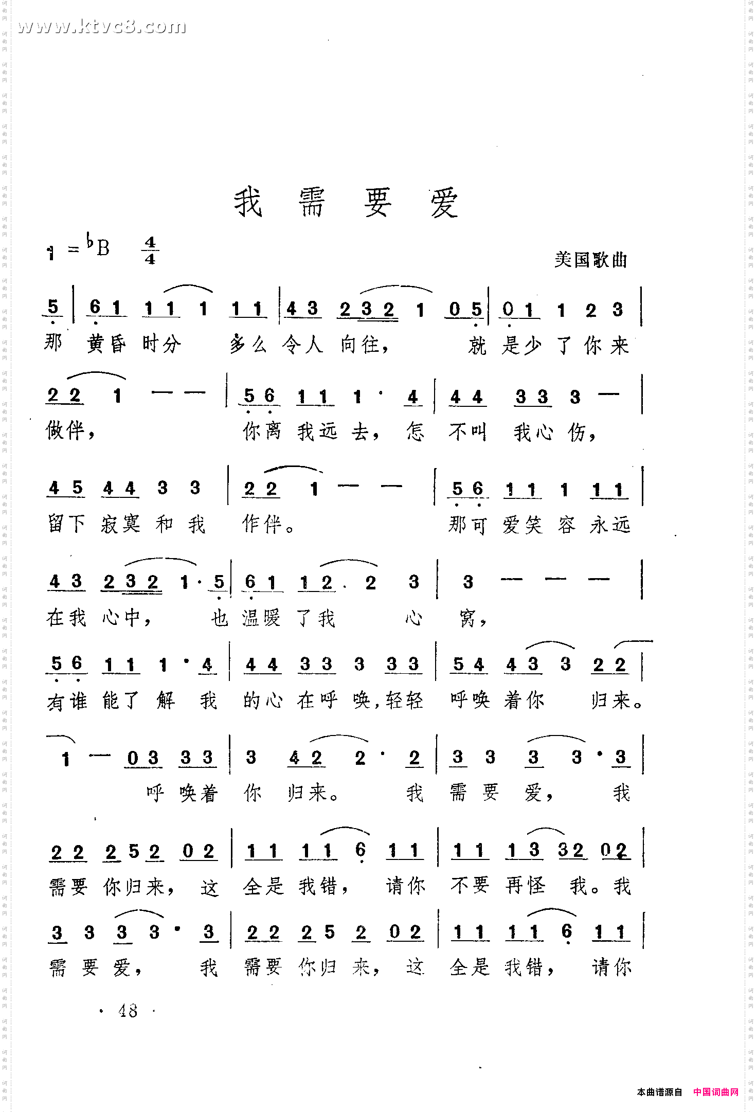
我需要爱

我需要爱

我需要爱

点击页面上方免费下载和打印 我需要爱曲谱,即可免费下载和打印本曲谱全部内容
简谱是音乐的密码本,音符是跳动的心电图。琴谱123曲谱网帮助每个热爱音乐的人学习乐器

全站海量简谱任你下载,帮你实现音乐梦

扫描右侧二维码手机上查阅我需要爱的简谱

扫一扫二维码