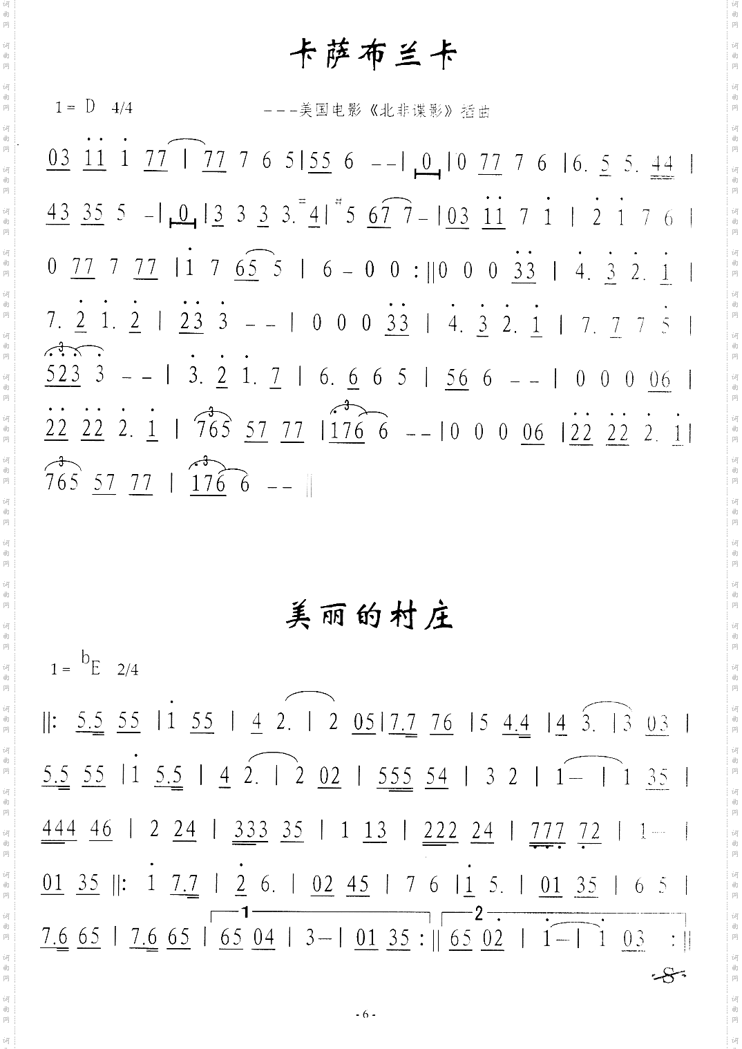
卡萨布兰卡-简谱

简谱相关琴谱栏目:卡萨布兰卡 外国名曲

卡萨布兰卡

点击页面上方免费下载和打印 卡萨布兰卡曲谱,即可免费下载和打印本曲谱全部内容
简谱是音乐的密码本,音符是跳动的心电图。琴谱123曲谱网帮助每个热爱音乐的人学习乐器

全站海量简谱任你下载,帮你实现音乐梦

扫描右侧二维码手机上查阅卡萨布兰卡的简谱

扫一扫二维码