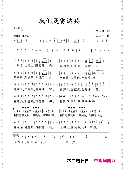
我们是雷达兵【合唱】-简谱

我们是雷达兵【合唱】

我们是雷达兵【合唱】

点击页面上方免费下载和打印 我们是雷达兵【合唱】曲谱,即可免费下载和打印本曲谱全部内容
简谱是音乐的密码本,音符是跳动的心电图。琴谱123曲谱网帮助每个热爱音乐的人学习乐器

全站海量简谱任你下载,帮你实现音乐梦

扫描右侧二维码手机上查阅我们是雷达兵【合唱】的简谱

扫一扫二维码