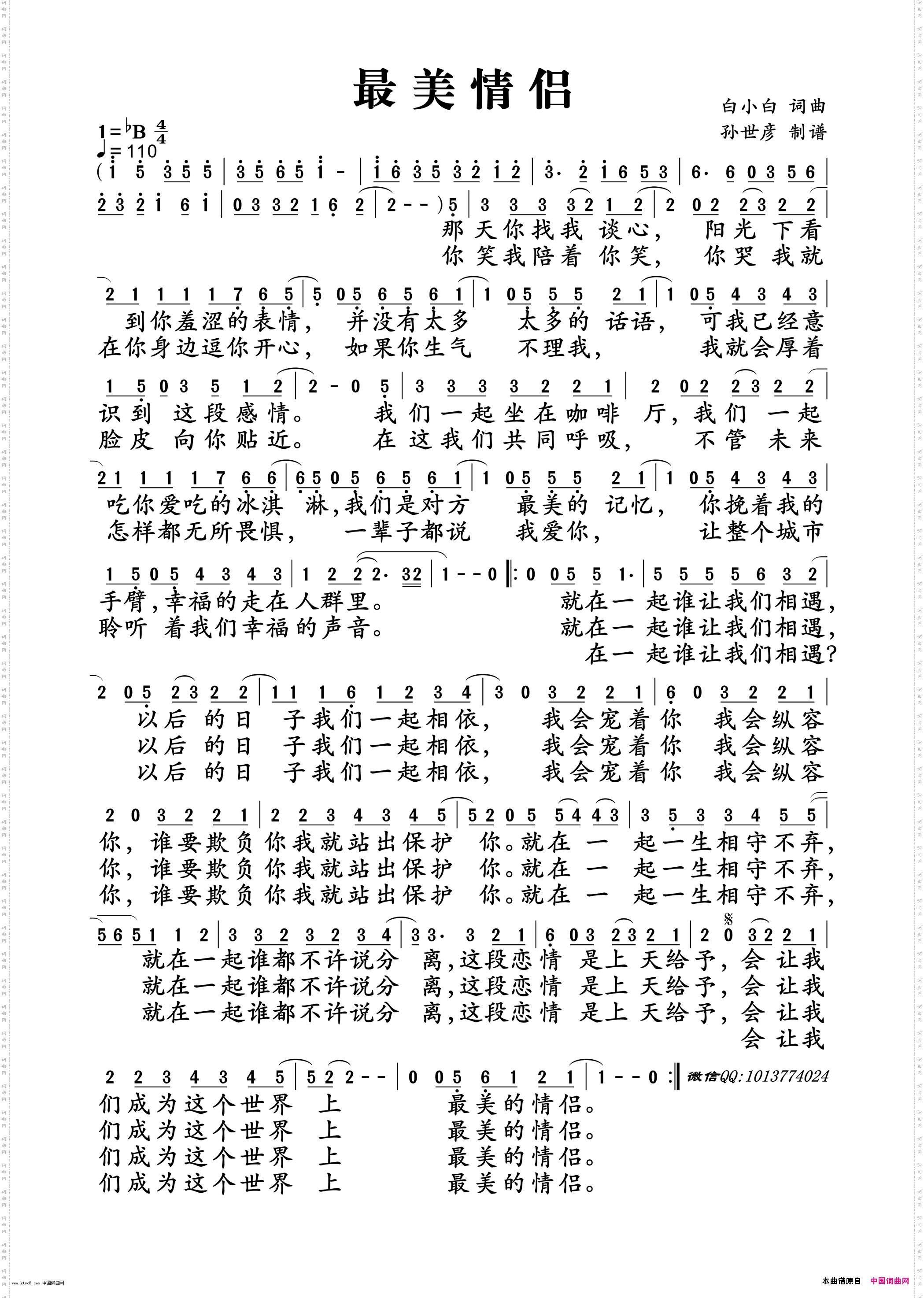
点击页面上方免费下载和打印 最美情侣曲谱,即可免费下载和打印本曲谱全部内容
简谱是音乐的密码本,音符是跳动的心电图。琴谱123曲谱网帮助每个热爱音乐的人学习乐器
最美情侣的相关曲谱
- 替我自由
- 很简单
- 最美情侣_鼓谱
- 爱不得忘不舍_吉他谱-C调
- 相恋在夏天
- 我爱你不问归期_功能谱
- 良辰美景
- 春光如海
- 良辰美景
- 炙热阳光群星版钢琴伴奏谱
- 奔赴自由
- 我爱你不问归期-白小白/贺敬轩-简单版
- 我爱你不问归期 - 白小白【原声独奏】
- 我爱你不问归期 - 白小白【原声独奏】
- 欠你的婚礼 白小白
- 欠你的婚礼-简单完整版 白小白
- 欠你的婚礼 - 【好听易演奏无转调版】
- 终结
- 我爱你不问归期降B大调版本
- 最美情侣
- 爱不得忘不舍//白小白-原调版
- 爱不得忘不舍 抖音 原调简单版
- 爱不得忘不舍 C调简易版
- 我爱你不问归期-白小白 【超级好听版】
- 我爱你不问归期和弦弹唱版
- 我爱你不问归期
- 最美情侣-白小白_简谱版
- 我爱你不问归期-我爱你就像风走了千万里从不问归期-抖音热歌_简谱版
- 我爱你不问归期-C调简单版-走过半生才懂得风景都不及你_简谱版
- 爱不得忘不舍-原调简单版-我们的关系进一步没资格-抖音
- 爱不得忘不舍-原调简单版-我们的关系进一步没资格-抖音
- 欠你的婚礼-简单版-我欠你一场婚礼用星光铺满草地
- 欠你的婚礼-简单版-我欠你一场婚礼用星光铺满草地
- 欠你的婚礼-简单完整版
- 欠你的婚礼-简单完整版
- 欠你的婚礼
- 欠你的婚礼
- 欠你的婚礼-简单版-我欠你一场婚礼用星光铺满草地
- 最美情侣-白小白
- 我爱你不问归期-我爱你就像风走了千万里从不问归期-抖音热歌
- 我爱你不问归期-C调简单版-走过半生才懂得风景都不及你
- 爱不得忘不舍-原调简单版-我们的关系进一步没资格-抖音
- 我爱你不问归期
- 爱不得忘不舍
- 爱不得忘不舍
- 爱不得忘不舍
- 我爱你,不问归期
- 最美情侣
- 我爱你不问归期_ 简和谱
- 我问你不问归期
猜你喜欢
热门曲谱
本站热搜
- 刘北休
- 周杰伦
- 赵宝祥
- 张朱论
- 于珂群
- 赵秀富
- 任清彪
- 动漫影视
- 杨培彬
- 佚名
- 刘志毅
- 颂今
- 邓丽君
- 刘恕
- 黄永杰
- 轻云望月
- 臧辉先
- 郭瑞峰
- 范修奎
- 今心勿念
- 高福友
- 李一泉
- 王立
- 未知
- echoLee
- 金一清
- 久石让
- 林俊杰
- 巴赫
- 车尔尼
- 李大江
- 印青
- 贝多芬
- 莫扎特
- 向邦瑜
- 张艺军
- 其他曲谱
- 肖邦
- 赵福林
- 吴世海
- 孙海生
- 黄清林
- 张德社
- 范景治
- 党继志
- 拜厄
- 陈伟
- 何顺贵
- 刘启华
- 陈奕迅
- 方文山
- 陈吉桂
- 李洪华
- 刘昌贵
- 刘爱斌
- 影视
- 宋祖英
- 车行
- 圣子
- 刘岐山
- 谌丽君
- 周深
- 孙书林
- 遥远
- 李繁花
- 张杰
- 阎维文
- 理查德·克莱德曼
- 世界名曲
- 石顺义
- 黎强
- 南梆子
- 银燕
- 孟庆云
- 陈能书
- 王菲
- 胡润华
- 中国名曲
- 谢伟
- 贺陆云
- 阎肃
- 鲁新华
- 罗鹏
- 徐沛东
- 陈普
- 王心田
- 杜旭光
- 倪永东
- (陈普)
- 梁静茹
- 笛子练习曲
- 李幼容
- 陈瑞
- 陈元绍
- 黄进军
- 戚建波
- 石进
- 陈道斌
- 雷佳
- 林夕
- 邹兴淮
- 谭晶
- 楼勤
- 伊璐琒
- 真情玲儿
- 谷建芬
- 李严
- 李娜
- 黎荣军
- 张学友
- 刘海斌
- 阿信
- 姚远富
- 王力宏
- 萧思林
- 许嵩
- 胡泽民
- 何丽华
- 张定月
- 詹姆斯·巴斯蒂安
- 阿汝汗
- 李斯特
- 邬大为
- 王丽达
- 刘德华
- 方翔
- 繁花笼雾
- 吴梦言
- 廖昌永
- 流行追梦人
- 瞿琮
- 克莱德曼
- 董宪瑞
- 范琳琳
- 薛之谦
- 朱长胜
- 韩磊
- 罗大佑
- 五月天
- 沈献智
- 王晓岭
- 张也
- 游戏
- 刘青
- 初音未来
- 雷宁
- 戴建华
- 许宝仁