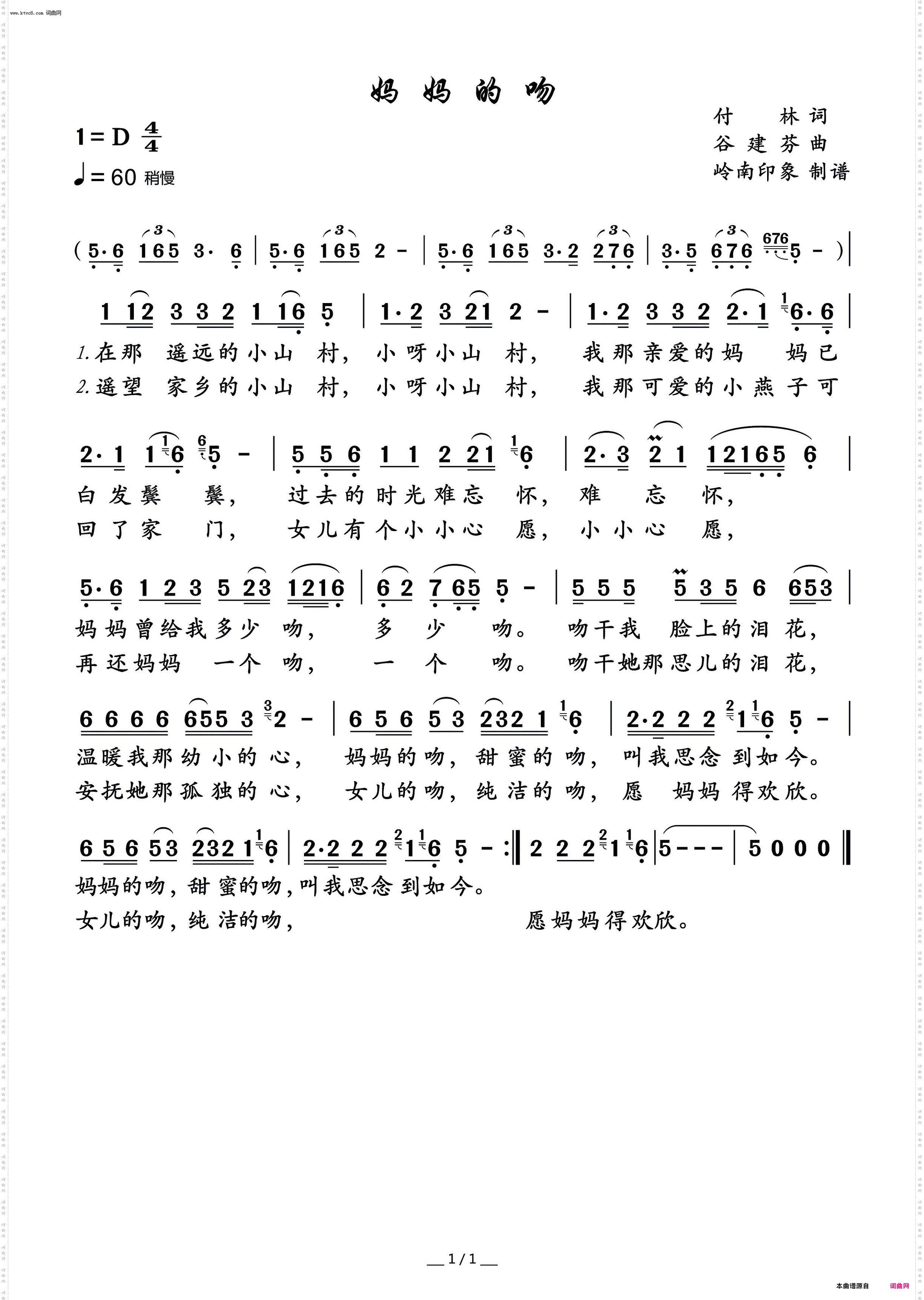
妈妈的吻_萨克斯乐曲C/D调伴奏-萨克斯曲谱

妈妈的吻_萨克斯乐曲C/D调伴奏

点击页面上方免费下载和打印 妈妈的吻_萨克斯乐曲C/D调伴奏曲谱,即可免费下载和打印本曲谱全部内容
简谱是音乐的密码本,音符是跳动的心电图。琴谱123曲谱网帮助每个热爱音乐的人学习乐器

全站海量萨克斯曲谱任你下载,帮你实现音乐梦

扫描右侧二维码手机上查阅妈妈的吻_萨克斯乐曲C/D调伴奏的萨克斯曲谱

扫一扫二维码