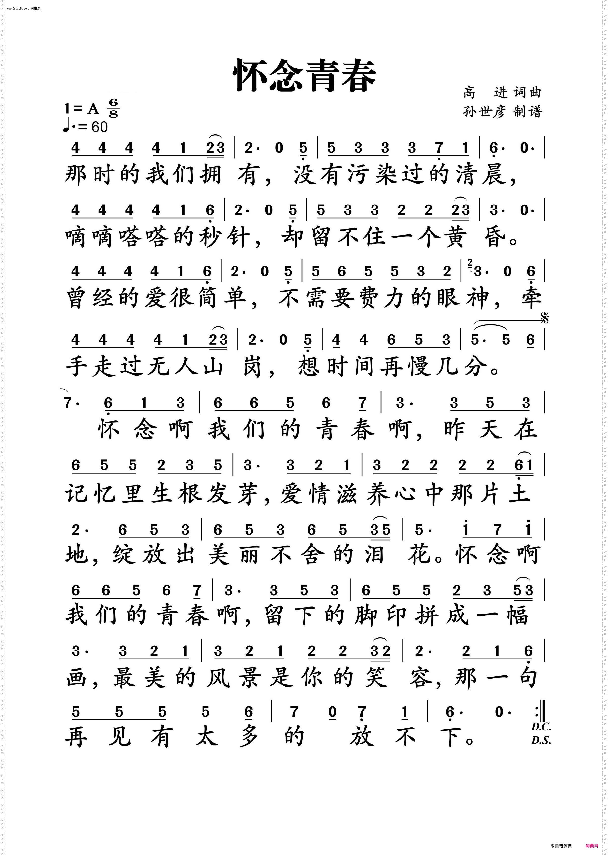
怀念青春_萨克斯乐曲原版及/扎心版伴奏-萨克斯曲谱

萨克斯曲谱相关琴谱栏目:怀念青春 高进 高进

怀念青春_萨克斯乐曲原版及/扎心版伴奏

点击页面上方免费下载和打印 怀念青春_萨克斯乐曲原版及/扎心版伴奏曲谱,即可免费下载和打印本曲谱全部内容
简谱是音乐的密码本,音符是跳动的心电图。琴谱123曲谱网帮助每个热爱音乐的人学习乐器

全站海量萨克斯曲谱任你下载,帮你实现音乐梦

扫描右侧二维码手机上查阅怀念青春_萨克斯乐曲原版及/扎心版伴奏的萨克斯曲谱

扫一扫二维码