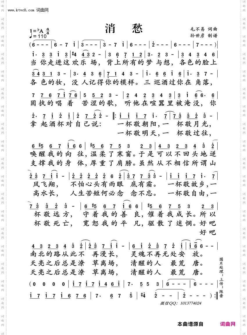
消愁_曲谱与配套伴奏之1-萨克斯曲谱

萨克斯曲谱相关琴谱栏目:消愁 毛不易 毛不易

消愁_曲谱与配套伴奏之1

消愁_曲谱与配套伴奏之1

消愁_曲谱与配套伴奏之1

消愁_曲谱与配套伴奏之1

消愁_曲谱与配套伴奏之1

点击页面上方免费下载和打印 消愁_曲谱与配套伴奏之1曲谱,即可免费下载和打印本曲谱全部内容
简谱是音乐的密码本,音符是跳动的心电图。琴谱123曲谱网帮助每个热爱音乐的人学习乐器

全站海量萨克斯曲谱任你下载,帮你实现音乐梦

扫描右侧二维码手机上查阅消愁_曲谱与配套伴奏之1的萨克斯曲谱

扫一扫二维码