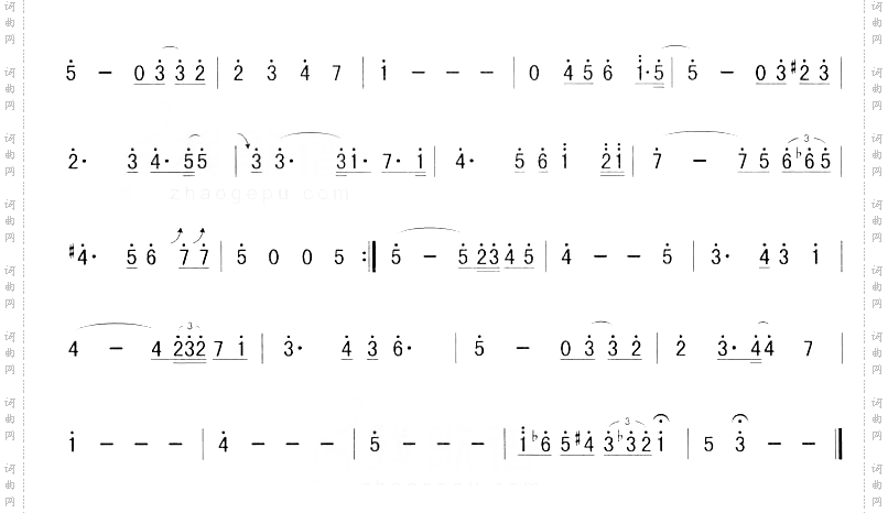
海边的陌生人-萨克斯曲谱

萨克斯曲谱相关琴谱栏目:海边的陌生人

海边的陌生人

海边的陌生人

点击页面上方免费下载和打印 海边的陌生人曲谱,即可免费下载和打印本曲谱全部内容
简谱是音乐的密码本,音符是跳动的心电图。琴谱123曲谱网帮助每个热爱音乐的人学习乐器

全站海量萨克斯曲谱任你下载,帮你实现音乐梦

扫描右侧二维码手机上查阅海边的陌生人的萨克斯曲谱

扫一扫二维码