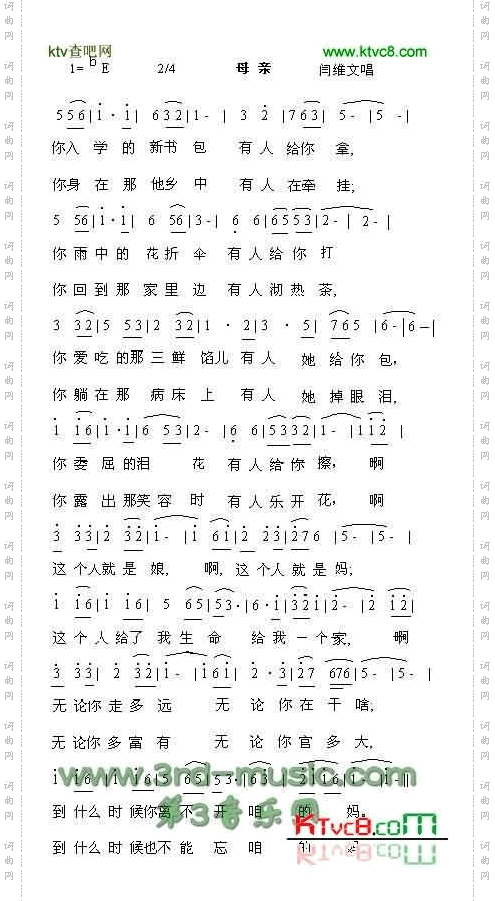
母亲[其他曲谱]-其他乐器

其他乐器相关琴谱栏目:

母亲[其他曲谱]

点击页面上方免费下载和打印 母亲[其他曲谱]曲谱,即可免费下载和打印本曲谱全部内容
简谱是音乐的密码本,音符是跳动的心电图。琴谱123曲谱网帮助每个热爱音乐的人学习乐器

全站海量其他乐器任你下载,帮你实现音乐梦

扫描右侧二维码手机上查阅母亲[其他曲谱]的其他乐器

扫一扫二维码

猜你喜欢

    暂无相关信息