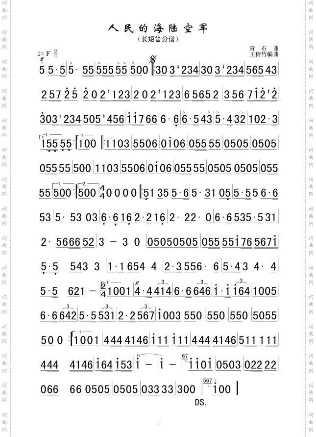
人民的海陆空军长笛军乐简谱-其他乐器

其他乐器相关琴谱栏目:青石

人民的海陆空军长笛军乐简谱

点击页面上方免费下载和打印 人民的海陆空军长笛军乐简谱曲谱,即可免费下载和打印本曲谱全部内容
简谱是音乐的密码本,音符是跳动的心电图。琴谱123曲谱网帮助每个热爱音乐的人学习乐器

全站海量其他乐器任你下载,帮你实现音乐梦

扫描右侧二维码手机上查阅人民的海陆空军长笛军乐简谱的其他乐器

扫一扫二维码