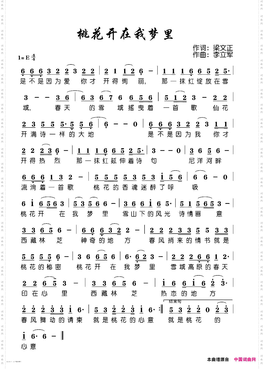
桃花开在我梦里-吉他曲谱

吉他曲谱相关琴谱栏目:梁文正 李立军 小样 黎君

桃花开在我梦里

点击页面上方免费下载和打印 桃花开在我梦里曲谱,即可免费下载和打印本曲谱全部内容
简谱是音乐的密码本,音符是跳动的心电图。琴谱123曲谱网帮助每个热爱音乐的人学习乐器

全站海量吉他曲谱任你下载,帮你实现音乐梦

扫描右侧二维码手机上查阅桃花开在我梦里的吉他曲谱

扫一扫二维码