flower dance花之舞_功能谱-吉他曲谱

吉他曲谱相关琴谱栏目:

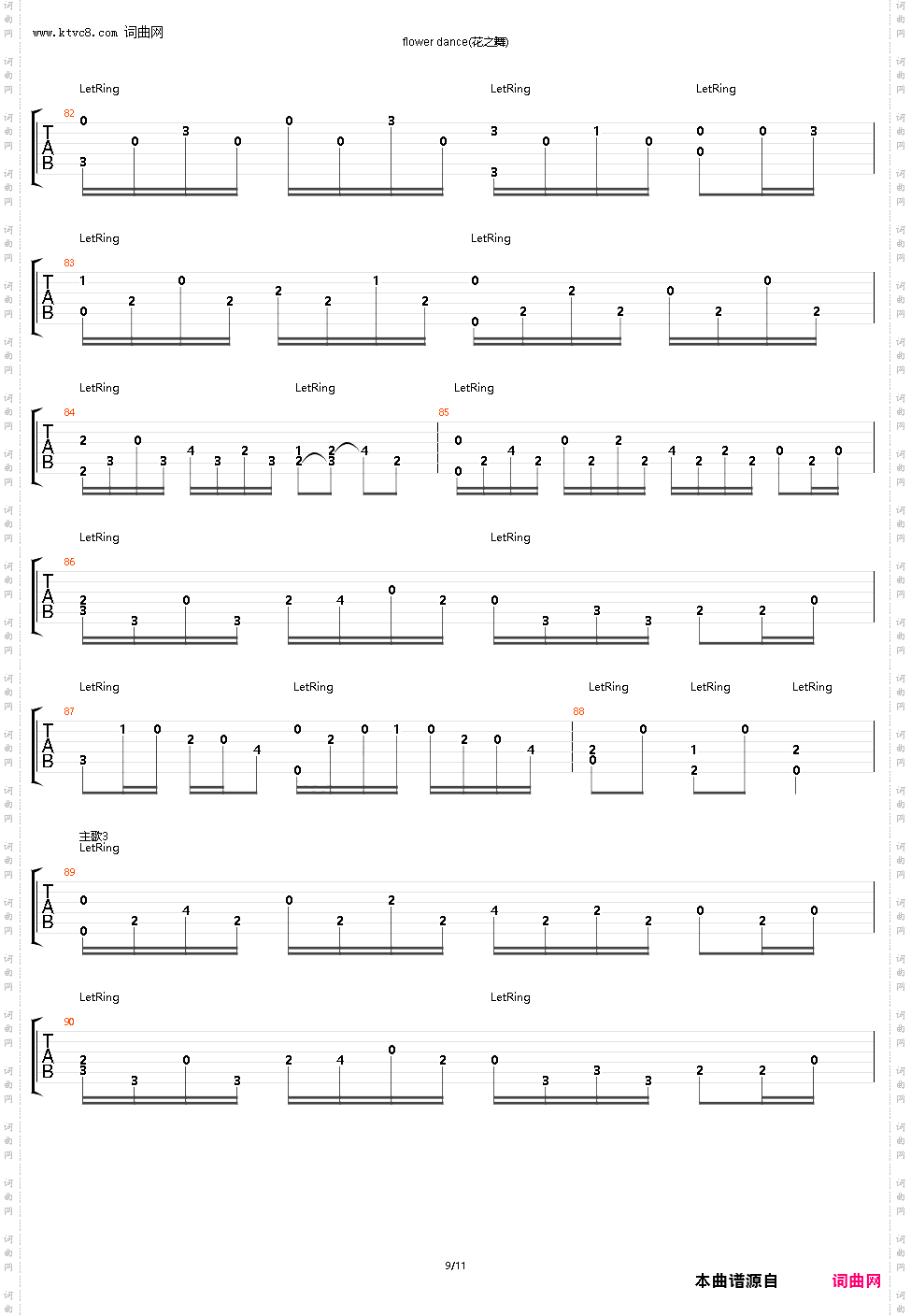
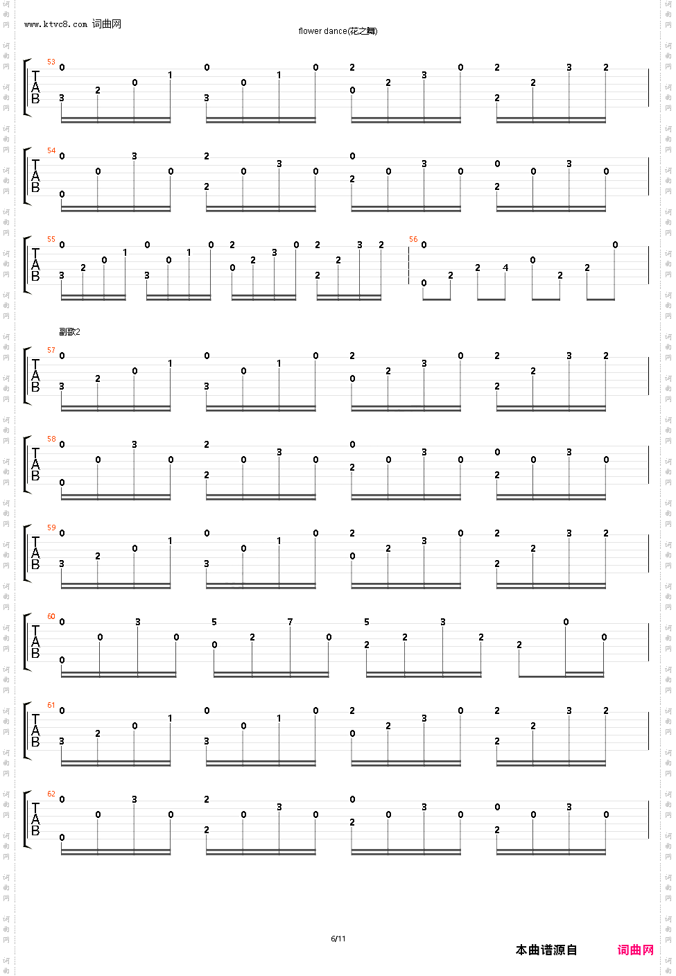
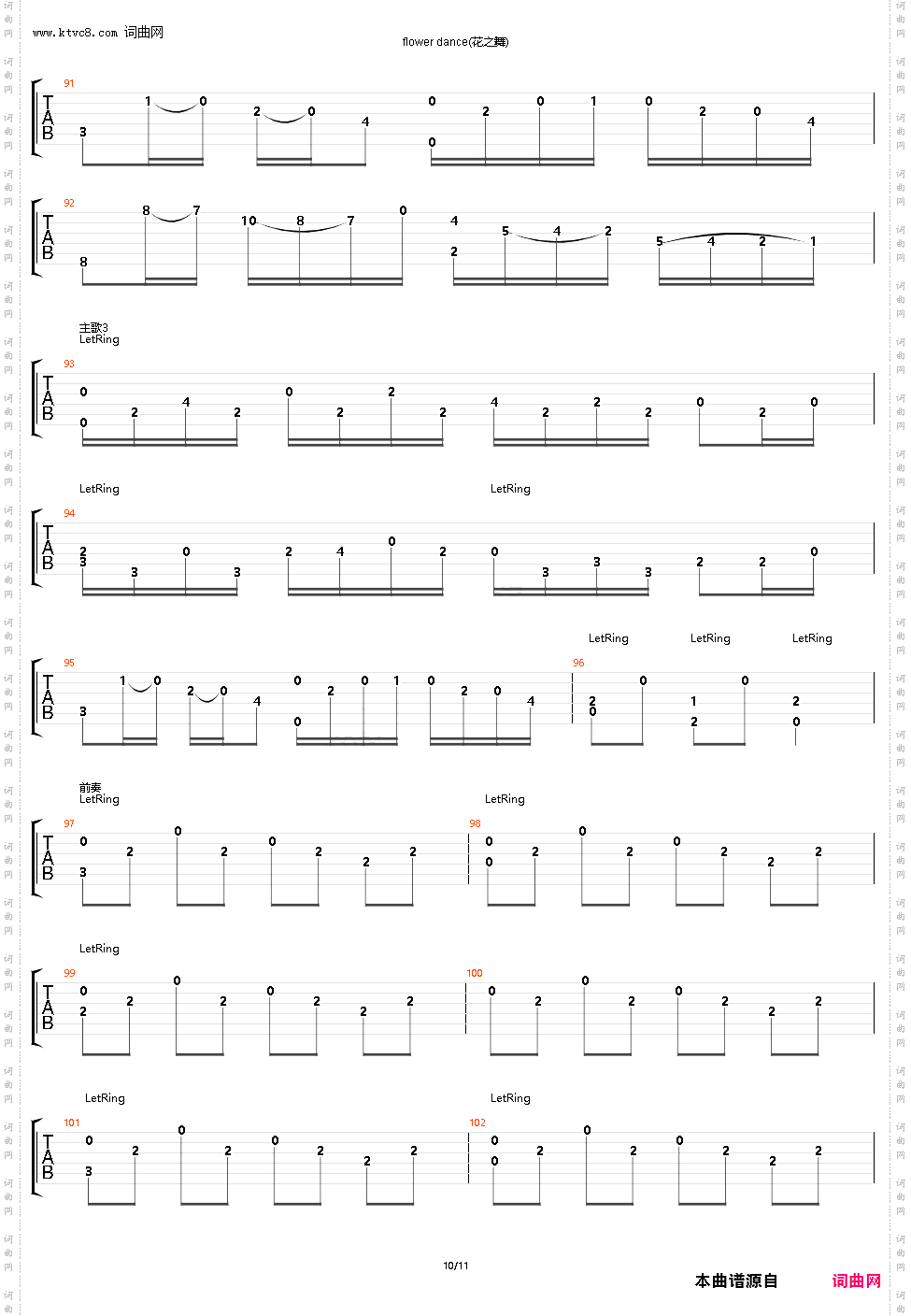
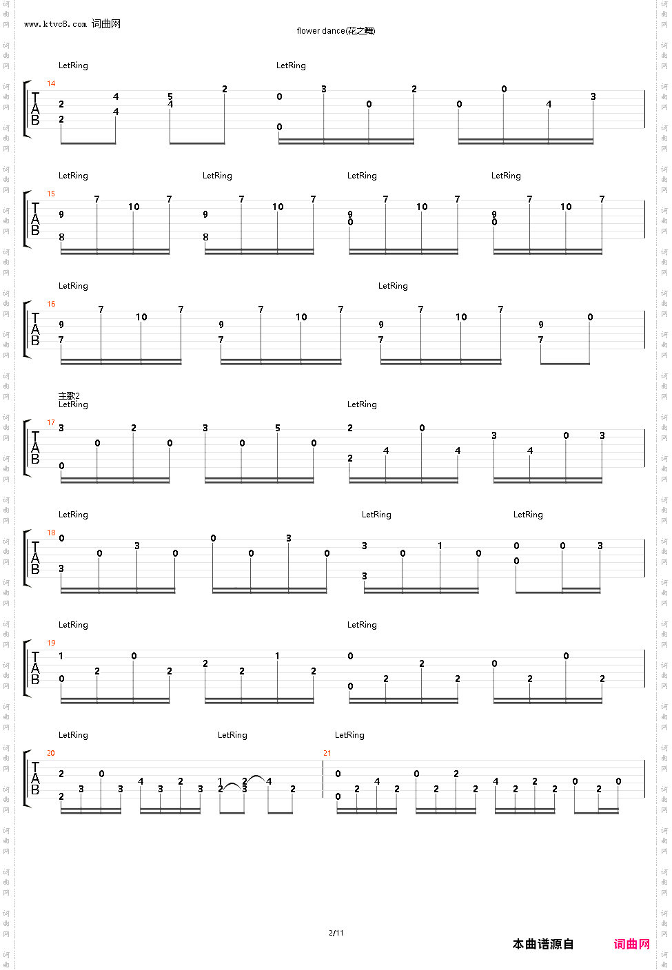
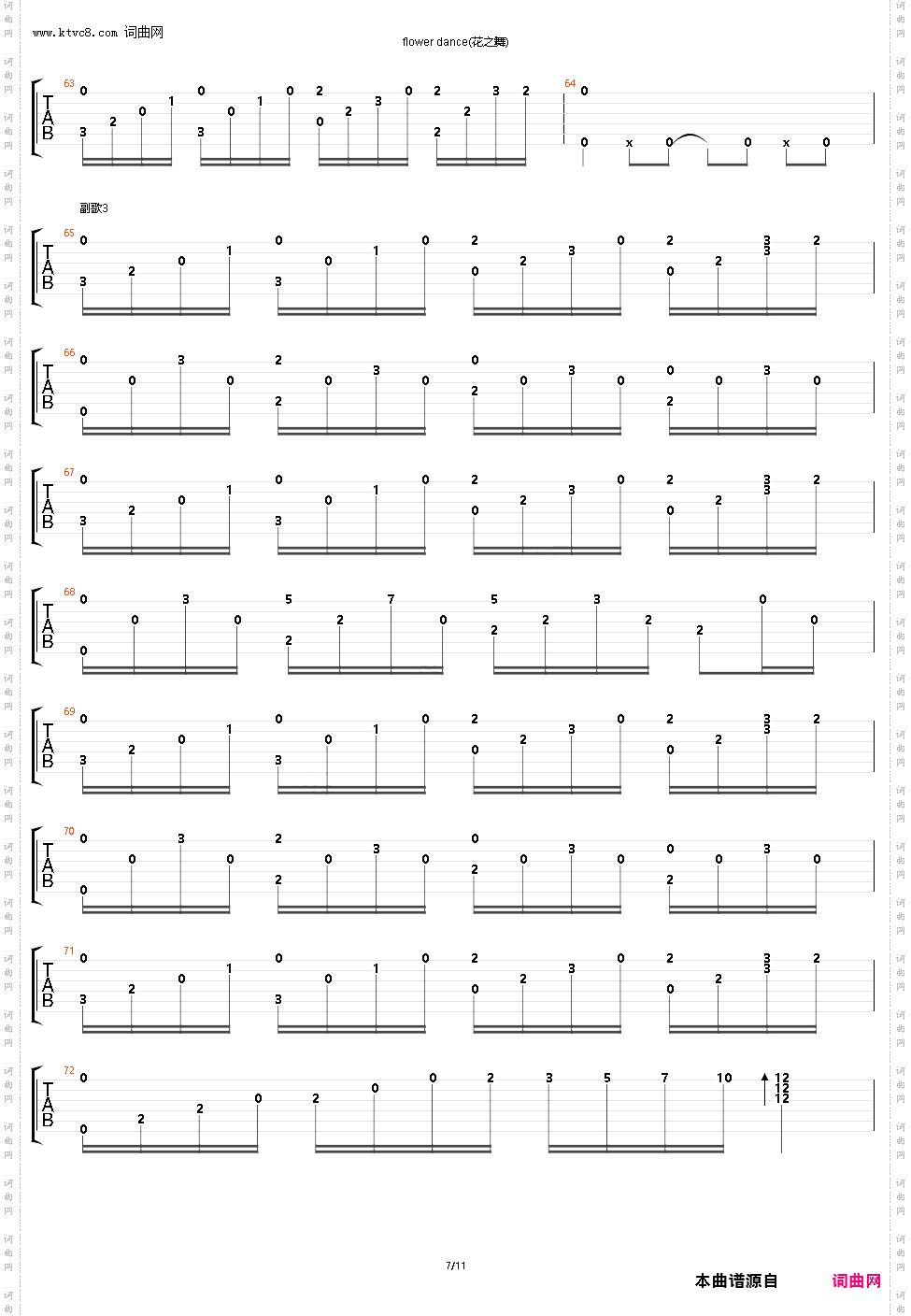
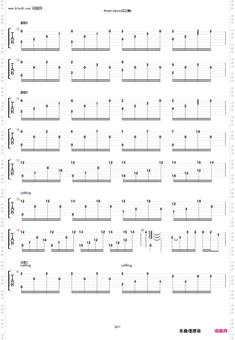
flower dance花之舞_功能谱

flower dance花之舞_功能谱

flower dance花之舞_功能谱

flower dance花之舞_功能谱

flower dance花之舞_功能谱

flower dance花之舞_功能谱

flower dance花之舞_功能谱

flower dance花之舞_功能谱

flower dance花之舞_功能谱

flower dance花之舞_功能谱

flower dance花之舞_功能谱

点击页面上方免费下载和打印 flower dance花之舞_功能谱曲谱,即可免费下载和打印本曲谱全部内容
简谱是音乐的密码本,音符是跳动的心电图。琴谱123曲谱网帮助每个热爱音乐的人学习乐器

全站海量吉他曲谱任你下载,帮你实现音乐梦

扫描右侧二维码手机上查阅flower dance花之舞_功能谱的吉他曲谱

扫一扫二维码

猜你喜欢

    暂无相关信息