葫芦丝红歌联奏三_二月里来等-葫芦丝曲谱

葫芦丝曲谱相关琴谱栏目:

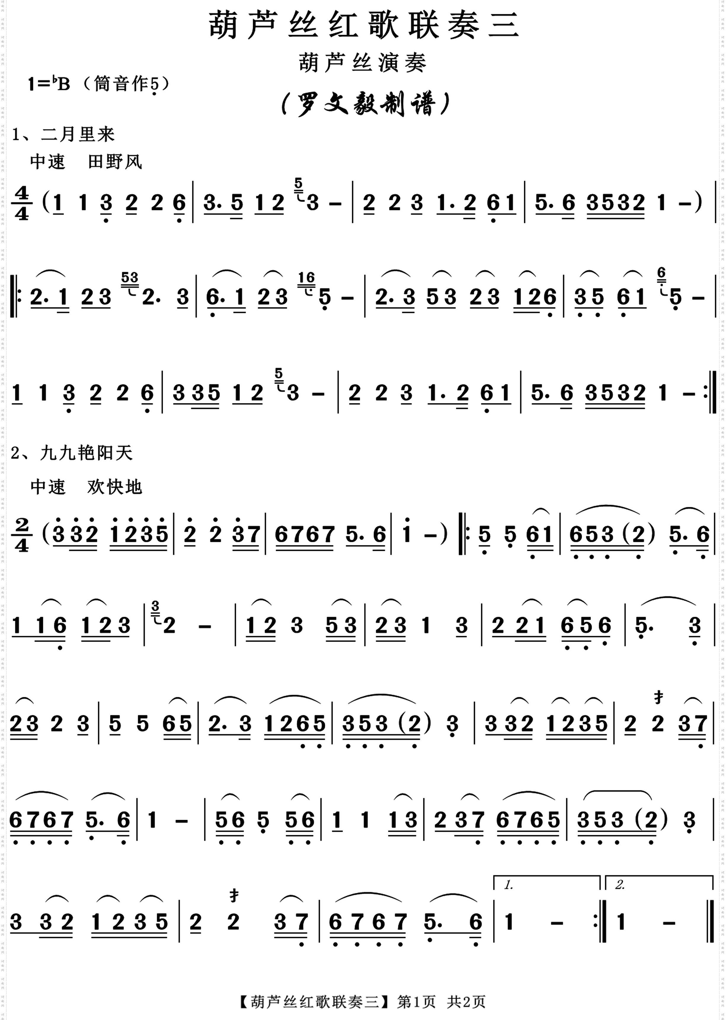
葫芦丝红歌联奏三_二月里来等

葫芦丝红歌联奏三_二月里来等

点击页面上方免费下载和打印 葫芦丝红歌联奏三_二月里来等曲谱,即可免费下载和打印本曲谱全部内容
简谱是音乐的密码本,音符是跳动的心电图。琴谱123曲谱网帮助每个热爱音乐的人学习乐器

全站海量葫芦丝曲谱任你下载,帮你实现音乐梦

扫描右侧二维码手机上查阅葫芦丝红歌联奏三_二月里来等的葫芦丝曲谱

扫一扫二维码

猜你喜欢

    暂无相关信息