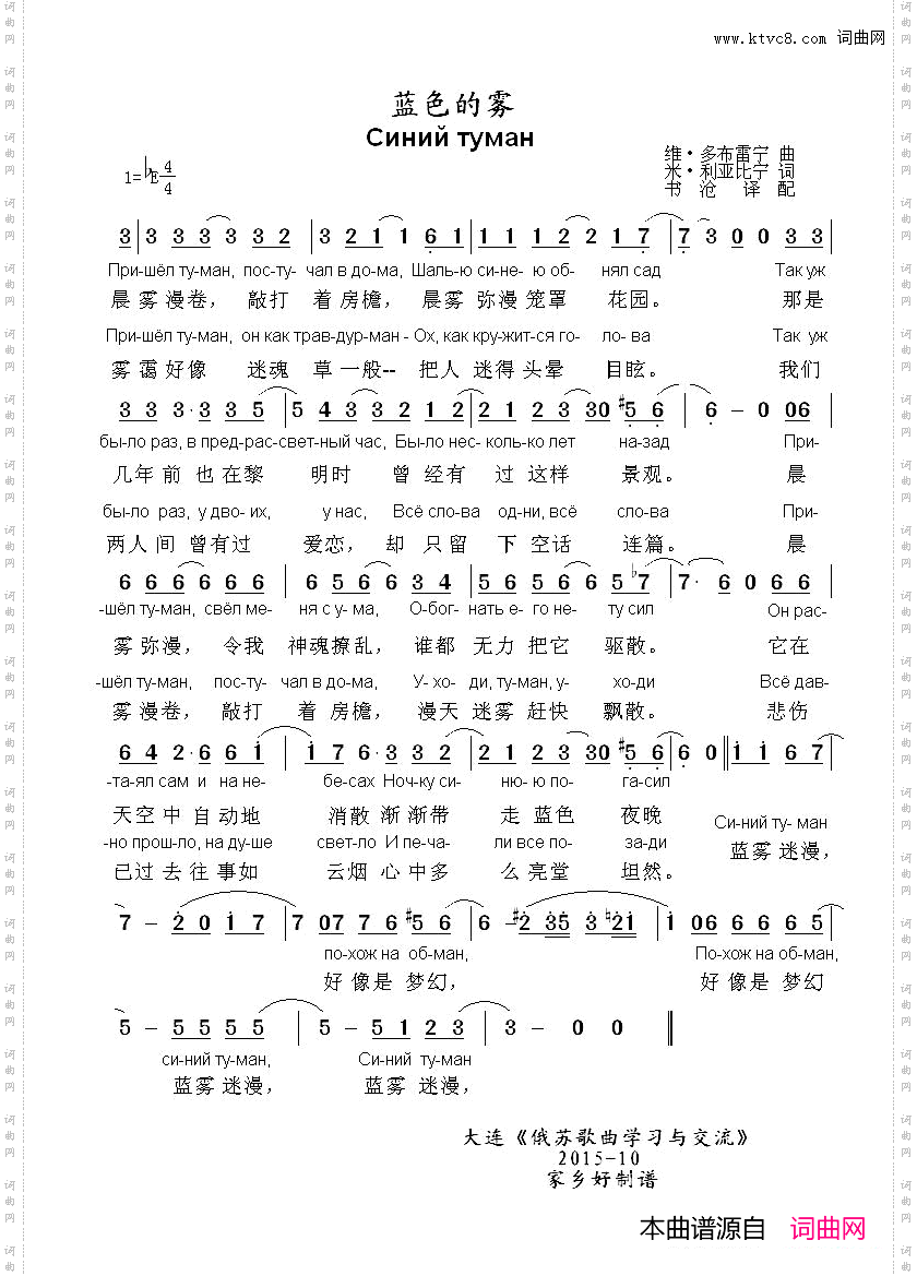
蓝色的雾Синийтуман中俄简谱_蓝色的雾Синий туман中俄简谱-钢琴曲谱
钢琴曲谱相关琴谱栏目:

点击页面上方免费下载和打印 蓝色的雾Синийтуман中俄简谱_蓝色的雾Синий туман中俄简谱曲谱,即可免费下载和打印本曲谱全部内容
简谱是音乐的密码本,音符是跳动的心电图。琴谱123曲谱网帮助每个热爱音乐的人学习乐器

点击页面上方免费下载和打印 蓝色的雾Синийтуман中俄简谱_蓝色的雾Синий туман中俄简谱曲谱,即可免费下载和打印本曲谱全部内容
简谱是音乐的密码本,音符是跳动的心电图。琴谱123曲谱网帮助每个热爱音乐的人学习乐器