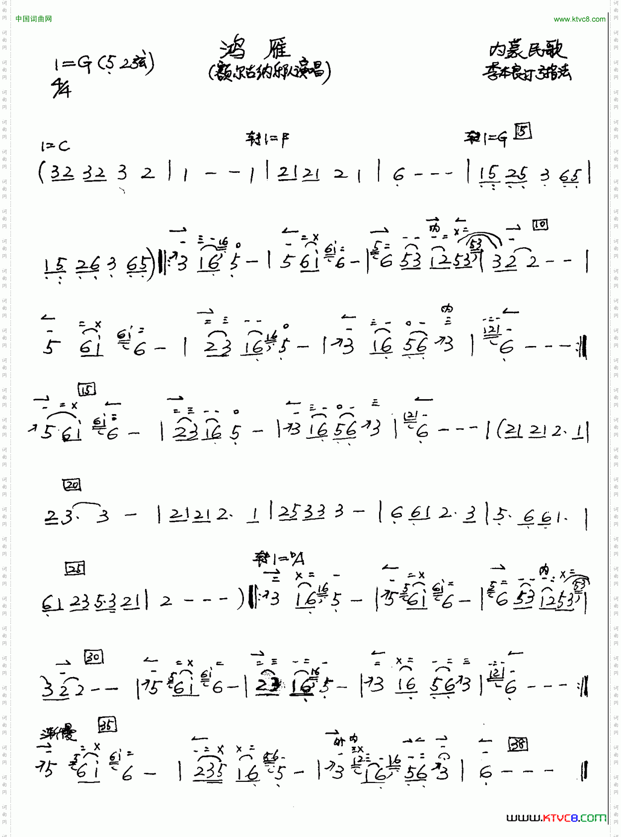
鸿雁二胡谱李本良订弓指法_鸿雁二胡谱 李本良订弓指法-二胡曲谱

二胡曲谱相关琴谱栏目:李本良

鸿雁二胡谱李本良订弓指法_鸿雁二胡谱 李本良订弓指法

点击页面上方免费下载和打印 鸿雁二胡谱李本良订弓指法_鸿雁二胡谱 李本良订弓指法曲谱,即可免费下载和打印本曲谱全部内容
简谱是音乐的密码本,音符是跳动的心电图。琴谱123曲谱网帮助每个热爱音乐的人学习乐器

全站海量二胡曲谱任你下载,帮你实现音乐梦

扫描右侧二维码手机上查阅鸿雁二胡谱李本良订弓指法_鸿雁二胡谱 李本良订弓指法的二胡曲谱

扫一扫二维码