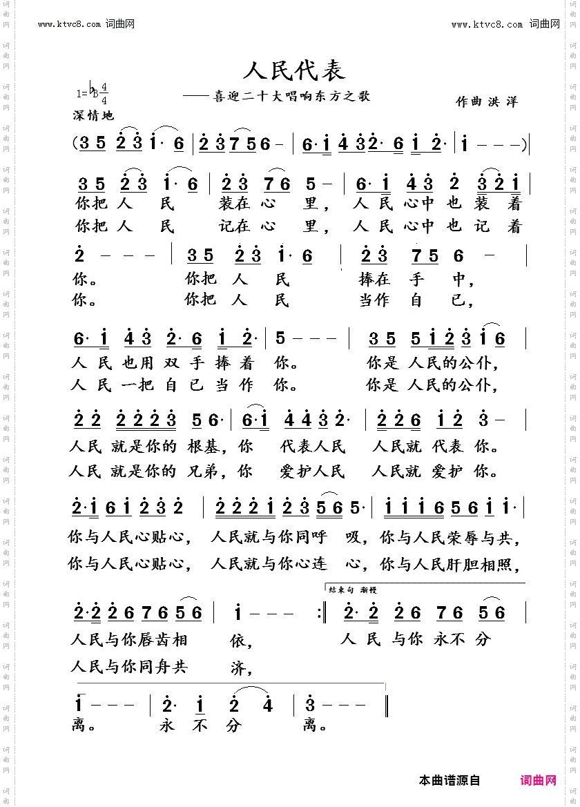
点击页面上方免费下载和打印 人民代表曲谱,即可免费下载和打印本曲谱全部内容
简谱是音乐的密码本,音符是跳动的心电图。琴谱123曲谱网帮助每个热爱音乐的人学习乐器
人民代表的相关曲谱
- 童声合唱相约春天_为童声合唱团改编的合唱歌曲
- 飞翔_2025成都世界运动会会歌
- 花瓣小船_献给敬爱的老师唱我们心中的合唱歌曲
- 未来有我在_为空军战士谱写创作的合唱歌曲
- 今生牵着你的手
- 歌声伴我快乐成长_为少儿合唱团的成立创作的合唱
- 多情的雪花_为女声三重唱而创作的歌曲
- 中国陆军之歌
- 芒果树下
- 乌拉盖,我向往的的地方
- 好客石门等你来
- 我就是你永不改变的誓言
- 阳光下的花朵_给当代幸福的少年儿童们创作的歌曲
- 梦中的月亮船
- 相约在春天
- 天使赞歌_为战斗在武汉前线的白衣天使们创作的歌曲
- 你就是灯塔
- 在海一方_广州南沙城市形象原创歌曲
- 美丽的科尔沁大草原
- 美丽的小星星_给少年儿童的引子与合唱歌曲
- 美丽东方_喜迎二十大,唱响美丽东方
- 我想把周庄寄给你
- 中国道路
- 美丽淮安
- 草海美丽的夜晚
- 婚礼之歌
- 一代英雄_电视剧《吉鸿昌》主题歌曲
- 青春舞台
- 家住伊犁河
- 恰西公主
- 火把节的情歌
- 美丽维西好风光
- 好客石门等你来
- 你就是灯塔
- 等你归来_献给人民的好干部焦裕禄
- 为春天歌唱
- 吉鸿昌_电视剧《吉鸿昌》主题曲
- 小平您好_为电视剧《DXP》征集而创作的主题歌
- 中国空军_《军哥最嘹亮》原创军旅歌曲
- 我要为你歌唱_委约为兰州财经大学70周年校庆庆典歌曲
- 党旗高高举起来_喜迎二十大唱响新时代原创歌曲
- 中国道路
- 青春与理想_中国博士后之歌
- 神箭
- 火箭天兵扬威名
- 我在外滩遇见你
- 向往延安
- 党旗高高举起
- 你从春天走过_为电影《春的使者》征集而创作的主题歌
- 家住伊犁河
猜你喜欢
热门曲谱
本站热搜
- 刘北休
- 周杰伦
- 赵宝祥
- 张朱论
- 于珂群
- 赵秀富
- 任清彪
- 动漫影视
- 杨培彬
- 佚名
- 刘志毅
- 颂今
- 邓丽君
- 刘恕
- 黄永杰
- 轻云望月
- 臧辉先
- 郭瑞峰
- 范修奎
- 今心勿念
- 高福友
- 李一泉
- 王立
- 未知
- echoLee
- 金一清
- 久石让
- 林俊杰
- 巴赫
- 车尔尼
- 李大江
- 印青
- 贝多芬
- 莫扎特
- 向邦瑜
- 张艺军
- 其他曲谱
- 肖邦
- 赵福林
- 吴世海
- 孙海生
- 黄清林
- 张德社
- 范景治
- 党继志
- 拜厄
- 陈伟
- 何顺贵
- 刘启华
- 陈奕迅
- 方文山
- 陈吉桂
- 李洪华
- 刘昌贵
- 刘爱斌
- 影视
- 宋祖英
- 车行
- 圣子
- 刘岐山
- 谌丽君
- 周深
- 孙书林
- 遥远
- 李繁花
- 张杰
- 阎维文
- 理查德·克莱德曼
- 世界名曲
- 石顺义
- 黎强
- 南梆子
- 银燕
- 孟庆云
- 陈能书
- 王菲
- 胡润华
- 中国名曲
- 谢伟
- 贺陆云
- 阎肃
- 鲁新华
- 罗鹏
- 徐沛东
- 陈普
- 王心田
- 杜旭光
- 倪永东
- (陈普)
- 梁静茹
- 笛子练习曲
- 李幼容
- 陈瑞
- 陈元绍
- 黄进军
- 戚建波
- 石进
- 陈道斌
- 雷佳
- 林夕
- 邹兴淮
- 谭晶
- 楼勤
- 伊璐琒
- 真情玲儿
- 谷建芬
- 李严
- 李娜
- 黎荣军
- 张学友
- 刘海斌
- 阿信
- 姚远富
- 王力宏
- 萧思林
- 许嵩
- 胡泽民
- 何丽华
- 张定月
- 詹姆斯·巴斯蒂安
- 阿汝汗
- 李斯特
- 邬大为
- 王丽达
- 刘德华
- 方翔
- 繁花笼雾
- 吴梦言
- 廖昌永
- 流行追梦人
- 瞿琮
- 克莱德曼
- 董宪瑞
- 范琳琳
- 薛之谦
- 朱长胜
- 韩磊
- 罗大佑
- 五月天
- 沈献智
- 王晓岭
- 张也
- 游戏
- 刘青
- 初音未来
- 雷宁
- 戴建华
- 许宝仁