坠入风尘-笛箫曲谱

笛箫曲谱相关琴谱栏目:坠入风尘

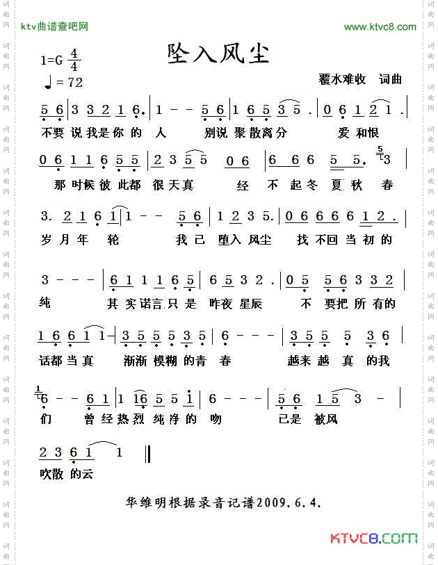
坠入风尘

点击页面上方免费下载和打印 坠入风尘曲谱,即可免费下载和打印本曲谱全部内容
简谱是音乐的密码本,音符是跳动的心电图。琴谱123曲谱网帮助每个热爱音乐的人学习乐器

全站海量笛箫曲谱任你下载,帮你实现音乐梦

扫描右侧二维码手机上查阅坠入风尘的笛箫曲谱

扫一扫二维码

猜你喜欢

    暂无相关信息